Scarica tutti i 101 studi in formato PDF e sostieni il progetto Matepratica con soli 3,99€: clicca qui per effettuare il pagamento, riceverai subito un link via mail dove poter scaricare uno Zip con tutti gli studi pubblicati sul sito in versione PDF. Per ulteriori info scrivi a info@matepratica.it
Scarica tutti i 101 studi in formato PDF e sostieni il progetto Matepratica con soli 3,99€: clicca qui per effettuare il pagamento, riceverai subito un link via mail dove poter scaricare uno Zip con tutti gli studi pubblicati sul sito in versione PDF. Per ulteriori info scrivi a info@matepratica.it



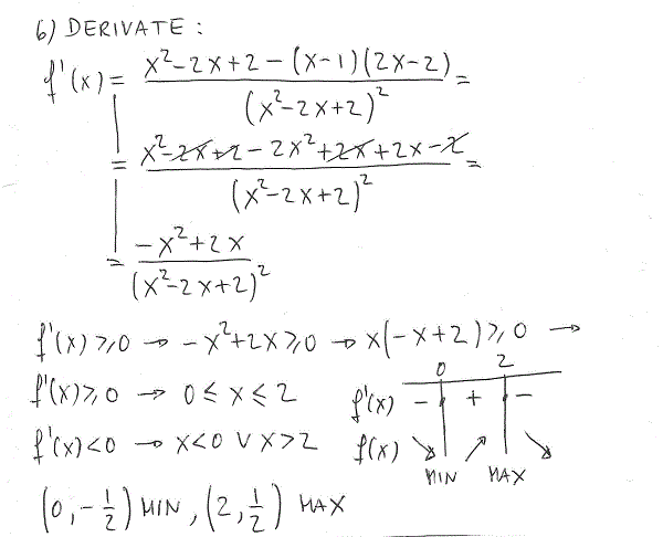
mi trovo i punti di massimo e minimo: (0;0);(2;0)
i punti di massimo e di minimo sono (0 e -1/2) e (2 e 1/2) perché tu devi prendere prima lo zero e poi lo vai a sostituire alla funzione iniziale non sulla derivata prima. fai la stessa cosa anche per i punti di massimo andando a sostituire il due sulla funzione iniziale e ti trovi il punto di massimo.
Sono disperato domani c’è il compito, al primo a ottobre presi 8, ma ora ho dimenticato tutto ahhaha (aiuto)
ciao :) Non riesco a capire perchè non hai calcolato la derivata seconda.
ciao puoi spiegarmi come hai calcolato il punto di massimo e di minimo?
basta fare la derivata prima e poi imporla >0 . in base ai risultati tramite il diagramma dei segni sai che se c’è meno la funzione decresce fino a quel punto ( in questo caso infatti decresce fino al punto 0;-1/2) mentre se c’è il più la funzione cresce fino a quel punto lì in questo caso (2;1/2)
Ciao, perché la funzione non passa per l’intersezione (0;-1/2)? :)
Come no? Per pura coincidenza è pure il minimo della funzione
E la derivata seconda? Mi è caduto un mito…
ciao, non hai calcolato la derivata seconda
salve! a me nel calcolo del segno della derivata non viene (0:2) ma +-2 facendo x^2-2<0
salve!può dirmi il passaggio tramite il quale ha calcolato il punto di max (2,1/2)
Ciao! Potresti gentilmente spiegarmi come hai a fatto a trovare i punti di massimo e minimo? grazie mille
scusami Albert,come mai nello studio del segno hai posto il numeratore solo maggiore di zero invece di maggiore e uguale?
Non si dovrebbe cercare anche l’asintoto obliquo? Grazie =)
Ciao, l’asintoto obliquo non esiste mai quando è presente l’asintoto orizzontale, quindi non lo si calcola :)
scusate, ma perchè nn c’è la derivata 2°?
Vedi commento 4 ;)
ok grazie :)
ciao albert potresti spiegarmi il punto 5 del limite..grazie
Ciao, è una forma inderminata infinito su infinito che si risolve raccogliendo la x di grado massimo al numeratore e denominatore
scusate ma se y=0 è l’asintoto orizzontale la funzione come fa a passarci sopra??’
Non è proibito alle funzioni passare sopra i propri asintoti :)
ciao… ma l’asintoto non è una retta a cui la funzione si avvicina senza mai toccarla all’infinito ?!?!
Si, ma all’infinito appunto. Ma prima dell’infinito può toccarla. In realtà può toccarla anche infinite volte, guarda qui:
https://www.facebook.com/photo.php?fbid=459374240778141&set=pb.118734091508826.-2207520000.1372524357.&type=3&theater
a no niente ho già capito xD
molto bene ;)
perchè nella derivata prima ti viene 2 non meno 2?
ciao!! potresti spiegarmi come hai calcolato il dominio?
Ho posto il denominatore diverso da zero. Ho quindi visto quando quel trinomio di secondo grado è uguale a zero…mai, perchè il delta è negativo. Ho di conseguenza concluso che il denominatore è sempre diverso da zero (per qualsiasi x).
Potresti spiegarmi come hai fatto questo delta? La radice da un numero negativo, se hai usato i numeri immaginari non dovrebbe darti 2 risultati? Grazie.
NON ho fatto la radice del delta proprio perchè il delta è negativo. Non considero i numeri complessi perchè siamo nel piano Reale, con funzioni di variabile reale
– Si, dentro parentesi viene 1. Non li ho tolti perchè ho scritto direttamente il risultato.
– La derivata seconda l’ho omessa io…ma andrebbe sempre calcolata, tranne quando il testo dell’esercizio specifica che puoi fare a meno di farla.
;)
:)
perchè non c’è la derivata 2°? quali sono i casi in cui non c’è?
perchè nei limiti 1/x;-2/x;-2/x^2 non vengono tolti?
non verrebbe 1 come risultato??
grazie mille