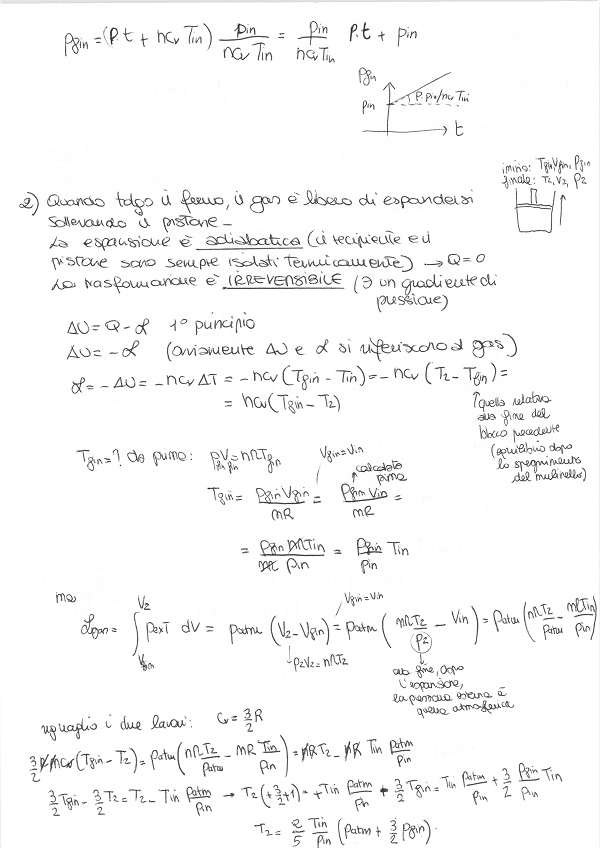
Un recipiente adiabatico è chiuso da un pistone inizialmente bloccato da un fermo. All’interno si trovano n moli di un gas monoatomico alla pressione e temperatura iniziali rispettivamente: p_in e T_in. All’interno del recipiente c’è un mulinello con un motore che può sprigionare una potenza P. Ad un certo istante il motore viene acceso. Dopo un tempo t viene spento e il gas all’interno raggiunge un nuovo equilibrio. Quale sarà la pressione p_fin raggiunta dal gas? In un secondo momento viene rimosso il fermo dal pistone, che cosa succede al gas? Quale sarà la sua temperatura finale T2?

