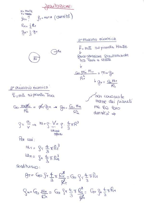
Gravitazione – Esercizio 1 Il pianeta Marte ha una accelerazione di gravità pari a circa 1/3 di quella terrestre e raggio medio di circa 1/2 rispetto a quello terrestre. Quanto varrà la densità di Marte rispetto a quella terrestre?
figo!