Scarica tutti i 101 studi in formato PDF e sostieni il progetto Matepratica con soli 3,99€: clicca qui per effettuare il pagamento, riceverai subito un link via mail dove poter scaricare uno Zip con tutti gli studi pubblicati sul sito in versione PDF. Per ulteriori info scrivi a info@matepratica.it
Scarica tutti i 101 studi in formato PDF e sostieni il progetto Matepratica con soli 3,99€: clicca qui per effettuare il pagamento, riceverai subito un link via mail dove poter scaricare uno Zip con tutti gli studi pubblicati sul sito in versione PDF. Per ulteriori info scrivi a info@matepratica.it



non riesco a capire la derivata seconda
Perché non c’è il massimo, ma soltanto il minimo?
Perché per l’ipotetico punto di max c’è l’asintoto
Ciao nell’ultimissimo passaggio credo ci sia un errore in quanto i punti del flesso sono f(-1/2)=1/9 e non -1/9 nella seconda parte è riportato giusto.
Comunque complimenti per il sito !!!
ciao, grazie dell’aiuto, ma non capisco come mai nella derivata prima il segno da minore ( avendo cambiato la x) mi ritorna positivo? grazie mille
Figliolo, attenzione nello studio del segno quando scrivi f(x)>=0 (maggiore o uguale) perché è un errore concettuale. Il segno di uguaglianza nello studio del segno non ha significato.
E poi nel 2015 perché non usi un equation editor se vuoi fare un lavoro professionale?
ciao, complimenti per il sito. vorrei capire come mai anche in presenza di un asintoto orizzontale la prima linea della funzione è continua? non dovrebbe interrompersi per poi ripartire?
Ciao Albert! Grazie per questo bel sito! Mi sta aiutando moltissimo! Senti, non riesco proprio a capire la derivata prima. Il primo passaggio è identico al tuo, poi a me il passaggio dopo viene 2x(x^2-2x+1) – 2x^3+2x^2 e il risultato mi viene -2x^2+2x quindi -2x(x+1) e non -2x(x-1).
Anche io mi trovo come te
ciao Albert! grazie mille per l’aiuto che dai con questo sito..! andiamo al sodo.. il dominio non dovrebbe escludere anche -2?
ciao, volevo chiederti com’è possibile che la funzione interseca l’asintoto orizzontale.
l’asintoto non è proprio quella retta verso cui tende la curva senza però mai toccarla?
grazie
ciao non ho capito i passaggi nella derivata seconda per studiare il flesso, come hai ottenuto le parti maggiore uguale a zero?
grazie
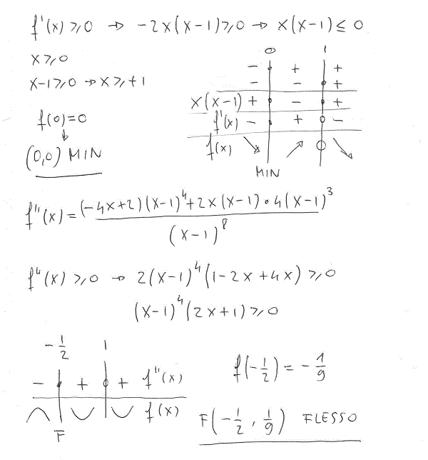
la derivata seconda risulta positiva o nulla quando 2x+1>=, quindi quando x>=-1/2
ciao, io non ho capito il calcolo della derivata prima, perché il primo passaggio è uguale al mio ma dal secondo in poi non riesco a capire come è stato svolto…
al numeratore ho raccolto 2(x-1)
ciao puoi spiegarmi il segno di qsta funzione? perche esce in quel modo? domani ho un compito sullo studio di funzioni ma nn capisco nulla soprattuto sui limiti…aiutooo
allora sono tardi… comunque numeratore e denominatore sono entrambi positivi (o nulli) perchè quadrati, quindi la frazione è sempre positiva o nulla
CIAO ALBERT, sono alle prime armi con lo studio di una funzione ma al domninio come mai è venuto fuori quel risultato?
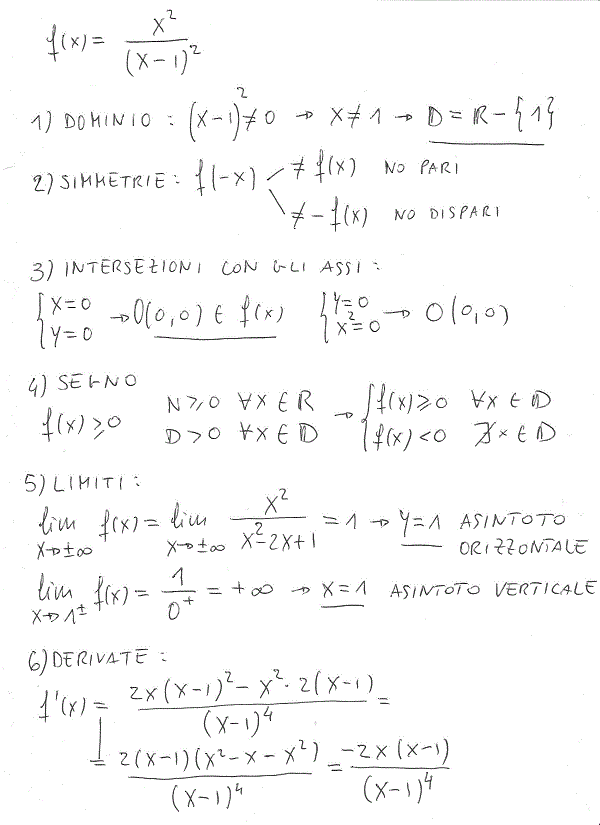
devo porre il denominatore diverso da zero (NON si può dividere per zero)
Ciao ALbert non ho capito questo passaggio
f'(x)>0 -> -2x(x-1)>0 -> x(x-1)<0
Perchè il 2 è stato tolto e perchè è cambiato il verso?
Ho diviso a destra e sinistra per -2, che è un numero negativo e quindi cambio verso alla disequazione.
Ciao Albert, scusa l’ignoranza, sono alle prime armi con lo studio di funzione; perché nello studio del segno imponi per ogni x appartenente a R e a D senza fare la disequazione?
Numeratore e denominatore nel dominio sono sempre positivi: di conseguenza la frazione (la funzione) è anch’essa sempre positiva nel dominio.
Grazie, sei molto gentile a rispondere a tutti! Complimenti!!!
Appena posso rispondo volentieri, grazie a te per i complimenti!
Ah perchè poi nel grafichetto dei segni metti f'(x) ha i segni opposti a x(x-a) ?
Grazie ancora e per sempre!!!
Perchè dai passaggi sopra (divisione a dx e sx per -2 e quindi cambio verso della disequazione) risulta che f’ è positiva quando x(x-1) è negativo (e viceversa evidentemente).
Ciao Albert potresti gentilmente spiegarmi questo passaggio:
x(x-1)<=0
x>=0
x-1>=0
Cioè perchè torna maggiore o uguale quando prima era minore uguale? GRazie come sempre!
E’ una convenzione: indipendentemente dal verso della disequazione io pongo i due fattori maggiori o uguali a zero: scopro così per quali valori sono positivi, ma anche per esclusione per quali valori sono negativi. Dai segni dei due fattori deduco poi (vedi schema dei segni) il segno del loro prodotto x(x-1)
nei vari intervalli.
Ciao Anonimo,
Primo modo: Con un calcolo più accurato del limite puoi capire se la funzione tende a 1+ (tende da sopra) oppure 1- (tende da sotto)
Secondo modo – utilizzato nella soluzione qui pubblicata – : appena conosci monotonia (studio della derivata prima) e concavità (derivata seconda) della funzione, scopri che per x–>+-inf c’è un solo modo di disegnare la funzione. Per esempio per x–>+inf la funzione è convessa e decrescente, perciò deve per forza tendere a 1 da sopra.
come si capisce se la funzione parte da sopra o sotto l’asintoto orizzontale?
Ho capito! Grazie ancora!
Ciao Martina,
è una scelta mia, fatta per avere esponente pari e denominatore sempre positivo. Ma non cambia nulla…puoi benissimo semplificare!
Ciao, ti ringrazio per il sito, si sta rivelando molto utile.
Vorrei un piccolo chiarimento: come mai nelle derivate (in questo momento sto guardando la derivata prima) non vengono eseguite semplificazioni? (ad esempio quell’x-1 al numeratore che andrebbe ad abbassare di un grado il denominatore)
grazie in anticipo!
Esatto, ho modificato. Grazie!
scusa albert ma il massimo è (1;infinito) ?
Ciao, complimenti per il sito. Vorrei segnalare un errore nel calcolo del limite che tende a 1+ e 1-, il risultato non è +inf e -inf, ma entrambi i limiti tendono a +inf, come dimostra il grafico. Grazie
Ciao, grazie Goblin! Perchè il denominatore, per x diverso da 1, è sempre positivo.
Ciao! Complimenti per il sito, ben fatto e molto utile.
Volevo chiedere una cosa; come mai nella derivata (prima e seconda) non viene preso in considerazione il denominatore, ma andiamo a studiare solo il numeratore ??