Scarica tutti i 101 studi in formato PDF e sostieni il progetto Matepratica con soli 3,99€: clicca qui per effettuare il pagamento, riceverai subito un link via mail dove poter scaricare uno Zip con tutti gli studi pubblicati sul sito in versione PDF. Per ulteriori info scrivi a info@matepratica.it
Scarica tutti i 101 studi in formato PDF e sostieni il progetto Matepratica con soli 3,99€: clicca qui per effettuare il pagamento, riceverai subito un link via mail dove poter scaricare uno Zip con tutti gli studi pubblicati sul sito in versione PDF. Per ulteriori info scrivi a info@matepratica.it




Intanto grazie per gli esercizi. Ma scusami, nella q, facendo il denominatore, -1 va moltiplicato per (x+1), quindi come fa ad uscire -x^2-x?
scusami, ma nella ricerca dell’asintoto obliquo di “q” la seconda x^2 da dove l’hai presa?
Grazie e complimenti :)
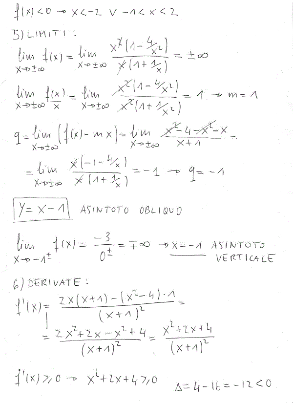
ciao, bellissimo sito, mi è stato di molto aiuto guardare gli esercizi. potresti spiegarmi meglio per quanto riguarda l’asintoto obliquo il procedimento?
per trovare m si moltiplica x al denominatore e per q si sottrae solo mx al nominatore?
Ciao grazie,
m = lim (x->inf) di f(x)/x
(se questo limite è diverso da zero e da infinito allora puoi cercare q)
q = lim (x->inf) di f(x) -mx
(se questo limite è diverso da infinito allora hai trovato l’asintoto obliquo y=mx+q)
ciao albert complimenti per il sito.
mi spieghi come fai a tracciare l’asintoto obliquo?
è inclinato di 45gradi perchè il coefficiente di x della retta y=x-1 è 1; inoltre interseca l’asse y nel punto y=-1 (termine noto q della retta y=x-1)
ciao albert, complimenti per il sito!!
Purtroppo però non capisco perchè in alcuni esercizi, come in questo, trovi dei risultati numerici nella derivata seconda, ma poi sostieni che non ci siano flessi.
Potresti spiegarmi il ragionamento che tu utilizzi?
Se in un intorno di un dato punto (in questo caso -1) la derivata seconda cambia segno allora la funzione in quell’intorno cambia concavità.
Quel dato punto sarà però un punto di flesso solo se in quel punto la derivata seconda si annulla, se no rimane semplicemente un punto di cambio concavità. Quest’ultimo è il caso del nostro esercizio, infatti per x=-1 la derivata seconda non esiste (così come f ed f’) e nel grafico di f x=-1 è un asintoto (e appunto non un flesso).
non riesco a capire se ci sta l’asintoto orizzontale e se ci sta mi spiegheresti il calcolo ?? grazie
Non ci sono asintoti orizzontali, perchè per x che tende a +- infinito il limite della funzione va a infinito.
ciao! potresti spiegarmi perchè nella derivata seconda spariscono (x+1) e gli esponenti 2 e 3? grazie
E’ come se raccogliessi (x+1) al numeratore e lo semplificassi con (x+1)^3 al denominatore.
Il 27 luglio c’è stato un grosso problema tecnico con le immagini presenti sul sito, è in corso il ripristino completo. Sulla Home Page c’è la comunicazione ufficiale.
Ma dove sono finite le immagini? Non ci sono più le immagini degli esercizi