Scarica tutti i 101 studi in formato PDF e sostieni il progetto Matepratica con soli 3,99€: clicca qui per effettuare il pagamento, riceverai subito un link via mail dove poter scaricare uno Zip con tutti gli studi pubblicati sul sito in versione PDF. Per ulteriori info scrivi a info@matepratica.it
Scarica tutti i 101 studi in formato PDF e sostieni il progetto Matepratica con soli 3,99€: clicca qui per effettuare il pagamento, riceverai subito un link via mail dove poter scaricare uno Zip con tutti gli studi pubblicati sul sito in versione PDF. Per ulteriori info scrivi a info@matepratica.it



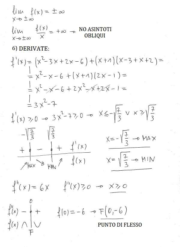
come si trova la y del max e min? grazie in anticipo
per trovare la y del max e del min, dove bisogna sostituire la x trovata (in questo caso +-radice di sette terzi) ? grazie in anticipo
ciao, potresti dirmi come fare la derivata di un prdotto con più di due funzioni? il procedimento non mi è molto chiaro..grazie in anticipo =)
se f(x) = a(x) b(x) c(x), allora
f'(x)= a’(x) b(x) c(x) +a(x) b'(x) c(x) +a(x) b(x) c'(x)