Scarica tutti i 101 studi in formato PDF e sostieni il progetto Matepratica con soli 3,99€: clicca qui per effettuare il pagamento, riceverai subito un link via mail dove poter scaricare uno Zip con tutti gli studi pubblicati sul sito in versione PDF. Per ulteriori info scrivi a info@matepratica.it
Scarica tutti i 101 studi in formato PDF e sostieni il progetto Matepratica con soli 3,99€: clicca qui per effettuare il pagamento, riceverai subito un link via mail dove poter scaricare uno Zip con tutti gli studi pubblicati sul sito in versione PDF. Per ulteriori info scrivi a info@matepratica.it



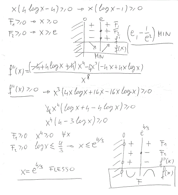
E’ sbagliato il segno. Bisgona imporre anche le condizioni di esistenza nel sistema no? Quindi non verrebbe 0<x< radice di e
Ciao ti volevo chiedere una cosa nello studio del segno. Da logx<1/2 come fai a passare alla radice e?
lmx<1/2. x<e^1/2 è la definizione di logaritmo
Ciao , puoi spiegarmi come hai ottenuto +inf nell’asintoto verticale , partendo da +inf/0+ ? Non me lo spiego.
è sbagliato il log. non è un logaritmo naturale ed è sbagliato quindi il segno e tutto il resto
Ciaooooo ho un dubbio su QSt funzione ln(x-1)/(-2-ln(x+1)) il dom è x>-1 e x diverso da e^-2 -1..? E f(x)>0 in -2<x<o??? Grazie in anticipo sei il mio eroe?
Ciao Albert, volevo chiederti come fa ad uscire quel -1/e^2
Grazie mille
ciao albert nella derivata prima non capisco perchè esce -4x+4logx/x^4 … a me esce -4x+8xlogx/x^4.
In cosa sbaglio?
Grazie mille per la tua disponibilità !!
Cosa cambia con scritto al posto di log ln?
non cambia nulla ;)
il campo di esistenza non dovrebbe essere per ogni valore di x tranne 0?
No perchè hai logx che prevede un campo di esistenza x>0
Ciao, scusa potresti spiegarmi nella derivata prima che fine fà il 2 prima di logx??…cioè, non dovrebbe essere -4x+8xlogx/x^4? invece di -4x+4xlogx/x^4?
tutto risolto….no problem!!!…ho capito dove sbagliavo.. :)
bene ;)
Ciao albert !! Potresti indicarmi i passaggi di questa derivata ? perchè anche a me esce -4x+8xlogx/x^4 .. non capisco l’errore che commetto !! grazie infinite ancora!!
hai detto di aver risolto… in ogni caso non posso sapere dove sbagli se non vedo i tuoi passaggi
Ciao, scusa ma non capisco perchè la derivata di -4x+4xlogx sia -4 +4logx +4 e non -4+4/x. Me lo potresti spiegare?
4xlogx è un prodotto tra le funzioni 4x e logx, quindi la sua derivata vale:
4logx +4x*1/x =4logx +4
ciao, scusa ma il limite che tende a 0 come fa ad uscirti infinito? se io sostituisco 0 alla x dovrebbe uscire -1/0, quindi impossibile!
Nel linguaggio dei limiti con 0 intendi un infinitesimo (numero infinitamente piccolo, ma non esattamente zero)
si è così
ciao, al limite quando utilizzi de l’hopital, la derivata di 2logx non è 2*1/x?
No, ottieni quello che c’è scritto nella soluzione, utilizzando de l’hopital.
ciao albert! nel secondo limite no ottieni -2log/2x^2?
grazie anticipatamente
Per trovare la tangente a f(x) in x=A, fai così:
1) Calcoli l’altezza della funzione in x=A facendo y=f(A)
2) Calcoli la derivata f'(x)
3) Sostituisci x=A in f'(x), ovvero calcoli m=f'(A), che è il coefficiente angolare della retta tangente.
4) Applichi la formula della retta passante per il punto (A;f(A)) e avente coefficiente angolare m:
y-f(A)=m(x-A)
A, f(A), m sono numeri: li conosci e li puoi inserire nella formula ricavando la retta voluta.
ok,grazie mille..
scusa ti vorrei chiedere un’altra cosa,che non riguarda questa funzione;quando ti viene chiesto di determinare l’equazione della retta tangente in un determinato punto d’ascissa,come si procede?
Ciao!
si divide per +4 a destra e sinistra della disequazione.
cioè vorrei capire perchè si elimina il quattro..
scusami e grazie..
ciao…
come si passa nella derivata seconda,dal penultimo all’ultimo passaggio?