Scarica tutti i 101 studi in formato PDF e sostieni il progetto Matepratica con soli 3,99€: clicca qui per effettuare il pagamento, riceverai subito un link via mail dove poter scaricare uno Zip con tutti gli studi pubblicati sul sito in versione PDF. Per ulteriori info scrivi a info@matepratica.it
Scarica tutti i 101 studi in formato PDF e sostieni il progetto Matepratica con soli 3,99€: clicca qui per effettuare il pagamento, riceverai subito un link via mail dove poter scaricare uno Zip con tutti gli studi pubblicati sul sito in versione PDF. Per ulteriori info scrivi a info@matepratica.it



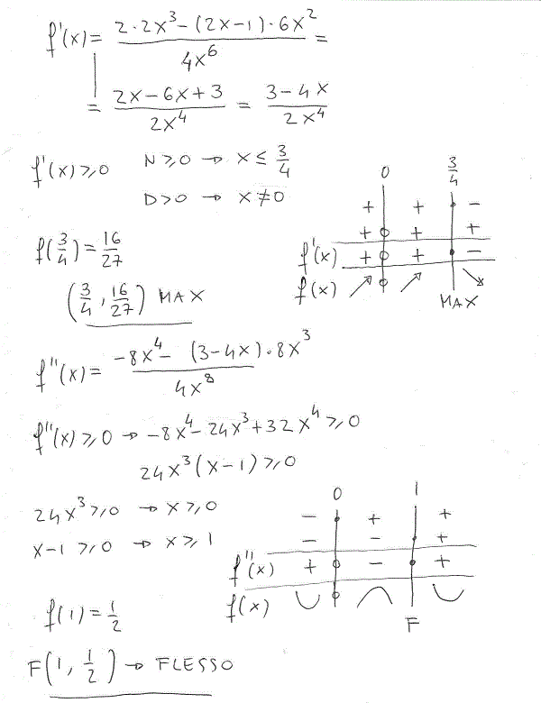
f(3/4)=4/27, non 16/27
ciao non riesco a capire quali passaggi tu abbia fatto per arrivare al risultato della derivata prima… non mi trovo..Grazie in anticipo :)..
Questo commento è stato eliminato dall’autore.
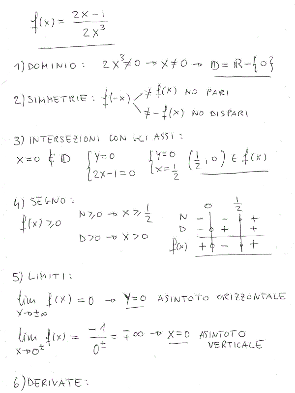
potresti rissumermi il procedimento del pari\dispari, perchè io mi trovo N e D negativi, quindi la funzione dovrebbere essere positiva, per via della legge del segno.
Questo commento è stato eliminato dall’autore.
ciao a tutti, vorrei chiedere come mai nel punto 6, quando pongo il denominatore della derivata maggiore di 0 il risultato vi viene “diverso da 0” non dovrebbe essere maggiore di 0? la radice di indice 4 di 0 non fa 0 ?
significa che per x diverso da zero il denominatore è sempre maggiore di zero
semplice. pensa ad un numero sia positivo che negativo. Se lo metti al posto di x alla quarta diventerà sempre positivo. solo 0 rimane 0 che non è maggiore di zero.
puoi provarlo con la regola della moltiplicazione su un grafico: quattro vole x>0 e poi con la regola del segno hai positivo a sinistra e a destra di zero. Da qui la creazione di una nuova “milestone” per te.
Ciao, sulla seconda derivata il denominatore deve essere 8x^3 no? :)
No è giusto così, il quadrato di 2x^4 è 4x^8
Ciao Albert ma perchè quando con la derivata prima troviamo il max poi dobbiamo fare f(3/4) per trovare l altro punto, mentre nell esercizio 36 una volta trovato il max lo teniamo così? cioè quindi in che caso dobbiamo trovare anche l altra coordinata e in che caso no? grazie
In teoria dovresti sempre cercare l’ordinata del punto. A volte non lo faccio perchè risulta un po’ complicato…ma in quel caso basta usare la calcolatrice ;)
Grazie mille!!
Buono studio!
HAHAHAHA =D
PS: sto sito è una bomba.
L’unica seccatura è che spesso alcuni valori risultano con la virgola e fare il grafico sul quaderno è un pò snervante =).
Però i miei complimenti vivissimi te li faccio a bello cuore!!
Ciaooooo!
Ettore
Magari si rispondessero tutti da soli come te :D
Ciao Ettore!
Avevo dimenticato che l’asintoto orizzontale può essere attraversato dalla funzione!! =D
Grazie mille lo stesso.
Buona giornata.
Ettore.
Ma come fa ad esistere un punto di intersezione sull’asse delle ascisse se la stessa retta è anche asintoto orizzontale?-___-