Scarica tutti i 101 studi in formato PDF e sostieni il progetto Matepratica con soli 3,99€: clicca qui per effettuare il pagamento, riceverai subito un link via mail dove poter scaricare uno Zip con tutti gli studi pubblicati sul sito in versione PDF. Per ulteriori info scrivi a info@matepratica.it
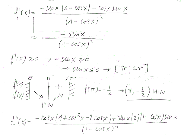
\[ f”\left(x\right)=\frac{\cos^{3}x-3\cos x+2}{\left(1-\cos x\right)^{4}} \] \[ f”\left(x\right)\geq0\rightarrow\cos^{3}x-3\cos x+2\geq0 \] \[ f”\left(x\right)\geq0\rightarrow\cos^{3}x-3\cos x+2\geq0 \] \[ f”\left(x\right)\geq0\rightarrow\left(\cos x-1\right)^{2}\left(\cos x+2\right)\geq0\;,\; con\;\cos x\neq1 \] \[ f”\left(x\right)\geq0\;\forall x\in D \] Segue che la disequazione è sempre verificata in D, di conseguenza la f”(x) è sempre positiva e la funzione sempre convessa.
Scarica tutti i 101 studi in formato PDF e sostieni il progetto Matepratica con soli 3,99€: clicca qui per effettuare il pagamento, riceverai subito un link via mail dove poter scaricare uno Zip con tutti gli studi pubblicati sul sito in versione PDF. Per ulteriori info scrivi a info@matepratica.it



Ciao!! Nello studio degli asintoti ho provato a calcolare anche quello per x tendente infinito (per la ricerca dell’asintoto orizzontale) ed effettivamente calcolando mi viene -1. Come mai non lo si deve considerare?
Il calcolo è questo: lim (x->inf) f(x)=inf/inf applico De L’Hopital –> lim(x->inf)-sen x/senx =-1
dove sbaglio?
Hai sbagliato in principio. Hai presupposto che per x tendente ad infinito cosx sia uguale ad infinito, cosa falsa perché quando x tende ad infinito cosx continua ad essere un valore fra 1 e -1. Quindi l’intero tuo discorso è fallato. Semplicemente non esiste il limite.
Salve
Ho un dubbio per quanto riguarda l’individuazione degli estremi inferiore e superiore della funzione e sul minimo….
premesso che mi trovo come lei, ho posto come estremo superiore + infinito mentre l’estremo inferiore in questo caso equivale al minimo,in questo caso assoluto….
secondo lei è giusto il mio ragionamento?
grazie
Si, è giusto, però per la definizione di estremo esso non può essere infinito, quindi per la precisione questa funzione è illimitata superiormente e quindi non ha estremo superiore
(cosx -1)^2 è un quadrato, quindi sempre positivo (tranne in x=0 e x=2pi che però non appartengono al dominio)
(cosx +2) è sempre positivo perchè cosx assume valori compresi tra -1 e 1, di conseguenza se aggiungi 2 ottieni valori sempre positivi (in particolare maggiori di 1)
Come mai segue che la derivata seconda è sempre positiva?
Ciao,
facendo i conti…e ricordando che (senx)^2=1-(cosx)^2
ciao albert, nella derivata seconda come fai a raggiungere quel risultato al numeratore del secondo passaggio?
ciao e grazie
Hai ragione, le conclusioni sono le stesse, ma ho modificato…
al penultimo passaggio della derivata seconda è:
cos^3(x)-3cos(x)+2 (non -2cos(x) come c’è scritto!)
Hai proprio ragione! Ai fini dello studio non cambia niente, ma il calcolo è tutt’altro…ho modificato. Prezioso commento, grazie!
scusa l’ultimo elemento della derivata seconda no ndovrebbe esssere -2sen^2xcosx ?