Scarica tutti i 101 studi in formato PDF e sostieni il progetto Matepratica con soli 3,99€: clicca qui per effettuare il pagamento, riceverai subito un link via mail dove poter scaricare uno Zip con tutti gli studi pubblicati sul sito in versione PDF. Per ulteriori info scrivi a info@matepratica.it
Scarica tutti i 101 studi in formato PDF e sostieni il progetto Matepratica con soli 3,99€: clicca qui per effettuare il pagamento, riceverai subito un link via mail dove poter scaricare uno Zip con tutti gli studi pubblicati sul sito in versione PDF. Per ulteriori info scrivi a info@matepratica.it



Ciao, come mai nel primo limite avete fatto lim x-> ∞ f(x)/x ? come ci siete arrivati?
Scusi, il punto di flesso come viene calcolato alla fine?Cioè dopo l’intersezione della parabola e dell’esponenziale. Grazie
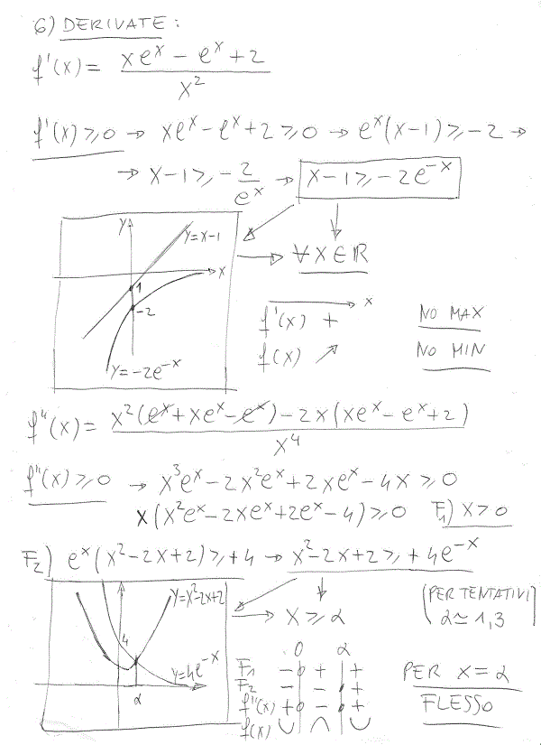
Non mi ritrovo con lo studio della derivata seconda. Io ho raccolto x*e^x al numeratore e semplificando num e den per x ho ottenuto: f”= e^x * (x^2-2*x-2)/x^3 . Da cui f” è nulla per x1=1-sqrt(3) e per x2=1+sqrt(3). Entrambi flessi. Che ne dice? Grazie!
Hai sbagliato a raccogliere, se fai così ti resta:
f”= e^x * (x^2-2*x+2-2/e^x)/x^3
Salve le volevo chiedere se y=0 è un asintoto orizzontale perchè viene attraversato dal grafico?
Ciao! Nessuno vieta al grafico di attraversare eventuali asintoti orizzontali, una o anche più volte…
Allora scusi, qual è la funzionalità dell’asintoto orizzontale in questo caso, dal momento che viene attreversato? C’è per caso una regola che mi permette di capire quando una funzione può attraversare o meno un asintoto? Devo dedurlo da qualcosa? Grazie in anticipo.
Tu fai lo studio completo, se la f interseca l’asintoto una o più volte te ne rendi conto facendo il grafico.
L’asintoto è tale per x che tende a +- infinito: le eventuali intersezioni sono dei punti che stanno “prima di +infinito”, oppure “dopo – infinito”, per questo ha un senso determinarlo
Ho ottenuto che la derivata è positiva quando la retta x-1 sta sopra (è maggiore) alla funzione -2e^(-x). Visto che dal grafico si vede che la retta data sta sempre sopra all’esponenziale, allora questo significa che la derivata è positiva in tutto R.
scusi l’ignoranza ma in base a cosa ha scelto la derivata prima crescente il grafico dell’esponente è negativo ..