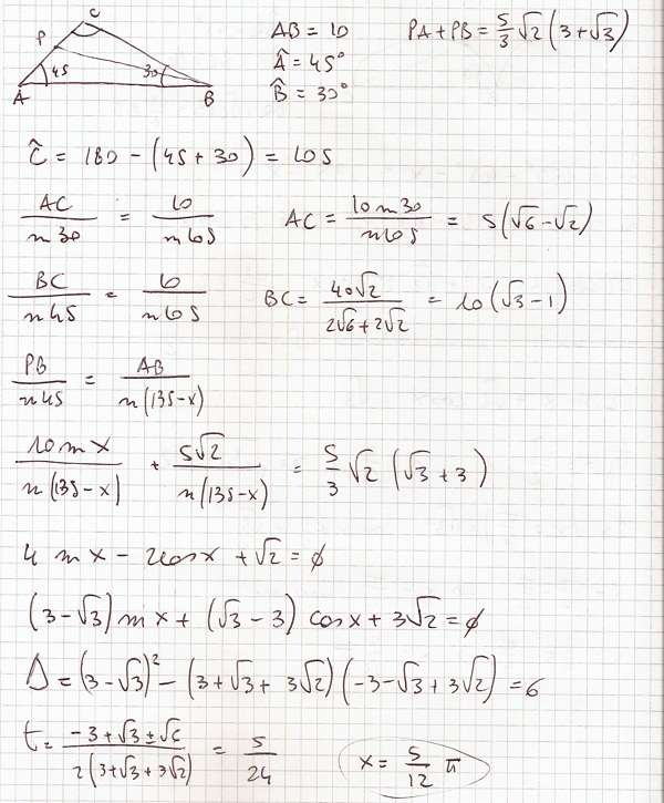
Del triangolo ABC sono noti i seguenti elementi: AB = 10 cm , BAC = 45° , ABC = 30°. Determina i lati AC e BC. Considera il punto P appartenente al lato AC e posto PBA = x risolvi la seguente equazione: PA + PB = 5/3 √2(3 + √3). Esprimi poi la funzione f(x) = (10√2)/PA e rappresentala su un periodo completo indipendentemente dal problema geometrico.

determinare la misura dei lati AC e BC di un triangolo ABC in cui BA=45° , ABC= pigreco/6 e cos BAC= -3/5
Nell’ esercizio ce scritto m45 m(135-x)
Che cos’è la m?
Che valore ha?
Penso sia “sen”