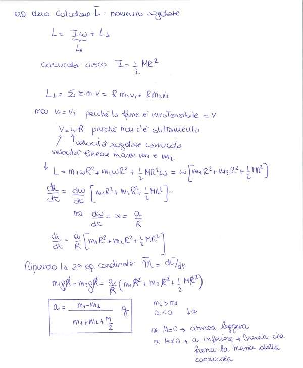
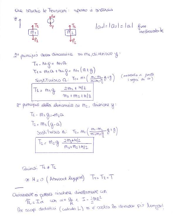
La macchina pesante di Atwood è costituita da una carrucola di massa M non trascurabile (pesante) e due masse, m1 e m2, attaccate ad essa con una fune ideale inestensibile. Calcolare l’accelerazione con cui si muovono le due masse e le tensioni della fune.



perchè usa mg e non T per il momento angolare? non è T direttamente applicato alla carrucola? cosa cambia dall’es 6 in cui usa direttamente T e non mg?
FOrse intendevi chiedere per il momento delle forze esterne (M) e non angolare (L)?
In tal caso, per il calcolo di M devi considerare le forze esterne al sistema. Il sistema è quella “palla” che ho disegnato attorno ai vari pezzi del sistema e le uniche forze che escono da questa “Palla” (Esterne) sono le forze peso.
Svolgendo l’esercizio senza l’ausilio del momento angolare ma usando il momento torcente ( delle tensioni però e non dei pesi, cioè usando le forze interne al sistema che agiscono direttamente sulla carrucola) ho ottenuto un risultato diverso dell’accelerazione. questo però differisce soltanto per il numeratore in quanto mi viene m2 meno m1 e non viceversa.
Se mi fai avere la tua soluzione posso controllare eventuali errori. Mi trovi in chat
Anche io ho lo stesso problema ! :(