Un generatore di potenziale mantiene la differenza di potenziale ai capi di un condensatore costante e pari a V0. Il condensatore è piano con armature di superficie S e distanti d (d molto più piccolo di S). Ad un certo istante una lastra di materiale conduttore di spessore Δ minore di d viene inserita tra le due armature del condensatore. Calcolare:
1) la densità superficiale di carica indotta sulla lastra;
2) il campo elettrico tra lastra e armature;
3) la capacità del condensatore dopo l’inserimento;
4) la forza agente sulla lastra;
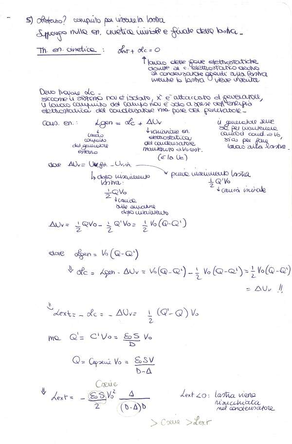
5) il lavoro esterno compiuto per inserire la lastra.



Buongiorno. Avrei un dubbio sulla risoluzione del primo punto. Impostando l’integrale:
Vo = Int (sup: D – Sp.lastra, inf:0) di -E * Dz
L’estremo superiore di integrazione l’ho impostato tenendo conto del fatto che la lastra essendo conduttrice ha campo elettrico nullo al suo interno quindi è come se le due armature si avvicinassero.
In questo modo mi risulta come una densità di segno opposto a quella calcolata da lei. Dove ho sbagliato? Le mie considerazione possono considerarsi esatte ? Grazie in anticipo