Trenitalia sta progettando una nuova tratta tra le stazioni di Milano Rogoredo e Milano Lambrate. In questa tratta i treni dovrenno transitare secondo questo schema:
punto A: strazione di Rogordo: treno fermo
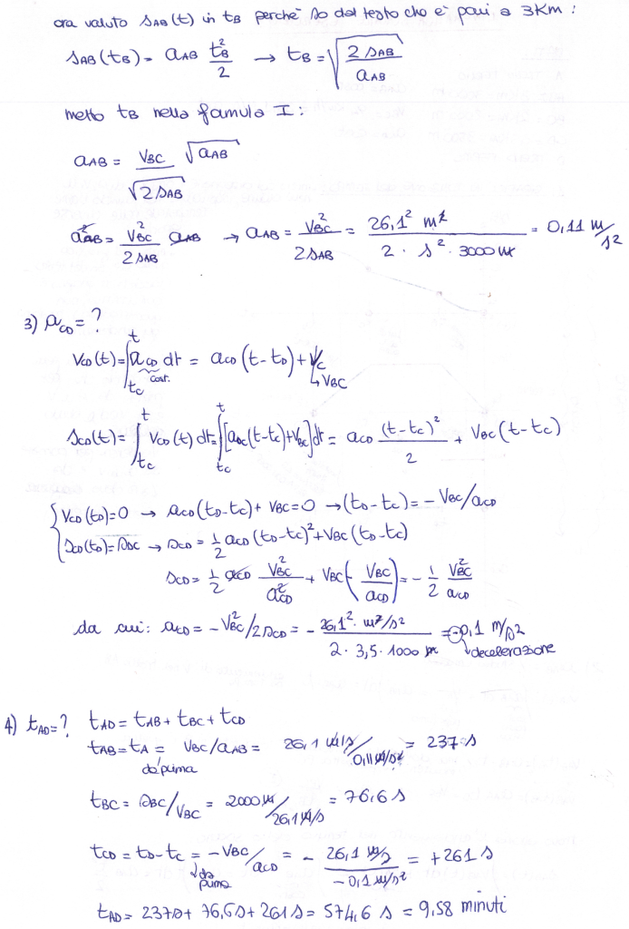
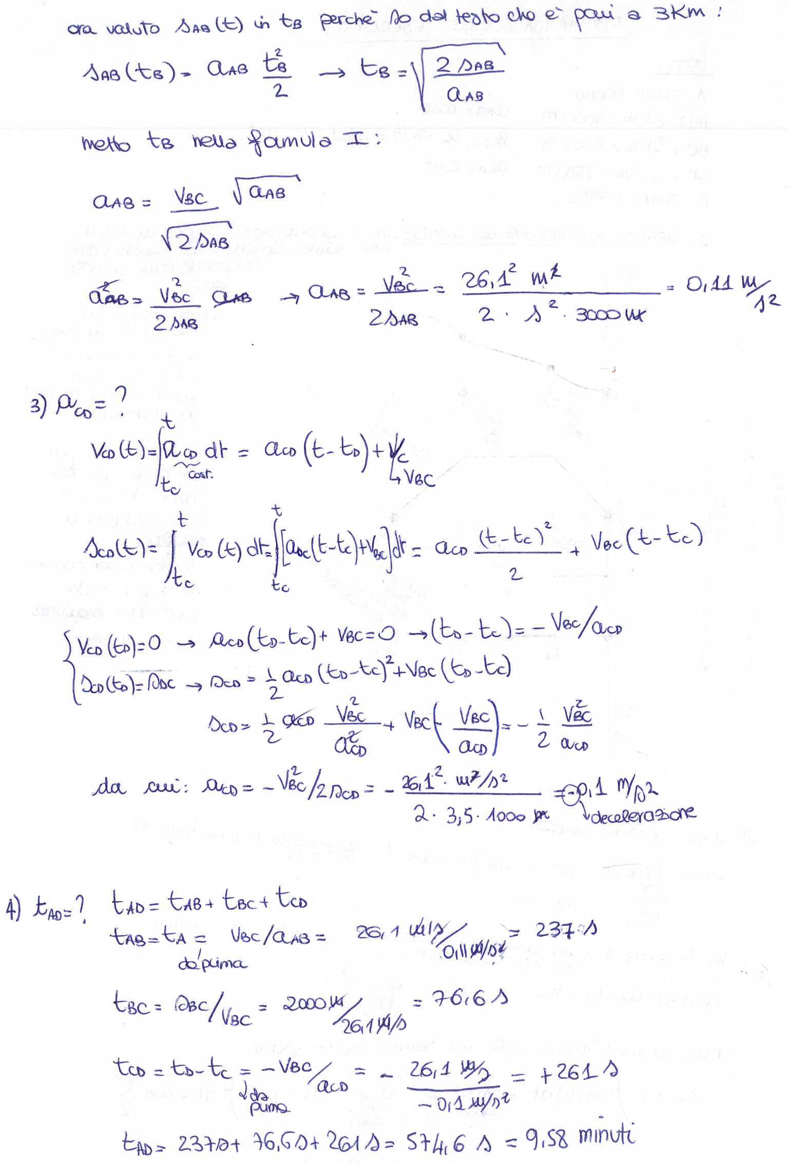
tratto A-B: il treno percorre 3 Km con accelerazione costante
tratto B-C: raggiunta la velocità vB il treno percorre la tratta, lunga 2 Km, ad una velocità costante pari a vB= 94Km/h
tratto C-D: il treno percorre 3.5 Km con decelerazione costante
punto D: stazione di Lambrate: il treno si ferma.
1) Rappresentare graficamente in funzione del tempo la posizione, la velocità e l’accelerazione del treno.
2) Quanto vale l’accelerazione del terno nel tratto AB?
3) Quanto vale la decelerazione del treno nel tratto CD?
4) Quanto tempo ci mette il treno per percorrere il tratto tra Rogoredo eLambrate?


In s_CD(t) non bisognerebbe considerare anche la posizione iniziale s_C?
Scusate ma non è formalmente sbagliato calcolare il tempo t(AB) in quel modo ? voi avete considerato come velocità sul tratto ab quella assunta soltanto nel punto finale del tragitto, non andrebbe calcolato t(b) dalla formula del primo quesito tb=sqrt((2s(AB))/a(AB)) = 233,54s , perchè nel primo tratto la v= a(AB)*(t(B)-t(A))=25.69 m/s.
Nel calcolo di sCD nella riga sotto al sistema penso ci sia un errore: nel secondo pezzo di espressione viene sommato anziché moltiplicato a VBC la sostituzione di (tD-tc).
Ciao Denis, c’e’ un errore di trascrizione, correggiamo grazie mille!