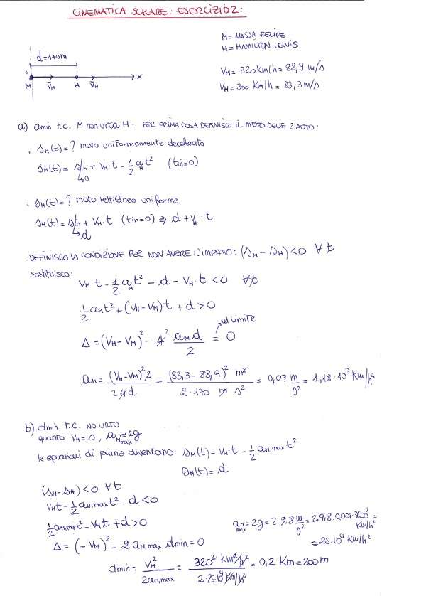
Durante il gran premio di Monza, Felipe Massa, sulla sua Ferrari, si trova in seconda posizione dietro al pilota della McLaren Lewis Hamilton. Durante il penultimo giro, sul rettilineo dei box, Hamilton sta transitando con una velocità di 300 Km/h, mentre massa di 320 Km/h. Appena prima della curva l’auto di Massa è molto vicino alla macchina di Hamilton e comincia a frenare con decelerazione costante pari a –a (con a<0) solo quando si trova a 170 m da Hamilton.
a) Quale deve essere la minima decelerazione che Massa deve imprimere alla sua monoposto per non tamponare Hamilton e vincere il mondiale?
b) Durante il giro successivo, si ripete la stessa scena. Hamilton davanti, massa dietro, stessa velocità. Questa volta però Hamilton buca e ferma l’auto all’imbocco della curva. Massa sta arrivando da dietro. A quale distanza dalla McLaren deve iniziare a frenare per evitare l’impatto? (considerare che la massima accelerazione imprimibile alla monoposto senza sbandare è circa 2g).

In pratica se il delta non fosse posto pari a 0 si avrebbero due possibili soluzioni (e inoltre la parabola della disequazione potrebbe proseguire anche sotto l’asse delle ascisse e non avrebbe senso) e per questo occorre porre tale condizione, giusto? Non mi è chiaro il significato fisico della parabola con due intersezioni, ciò cosa comporterebbe?
Ciao! Ho un dubbio: la formula risolutiva per le equazioni di secondo grado può essere applicata anche per trovare a? Usandola non stiamo in realtà risolvendo l’equazione per t e non per a?
Ciao non ho capito perchè la condizione è per non urtare è (S di Hamilton – S di Massa) minore di 0
Ciao, nel primo punto perchè hai posto il delta=0? Grazie
Perchè nelle equazioni di secondo grado è il metodo per garantire l’unicità della soluzione.
Ciao non riesco a capire l’ultimo passaggio della prima domanda ,potresti aiutarmi?
Grazie
ho ricavato l’accelerazione dall’equazione girando la formula!
si ma hai messo al numeratore la differenza delle due velocita’ tutto al quadrato, credo sia la differenza dei quadrati delle velocità. g
Hmmm dunque il delta si calcola come b^2-4ac.
b è il coeff di t in questo caso quindi (vh-vm) che quindi devo elevare al quadrato