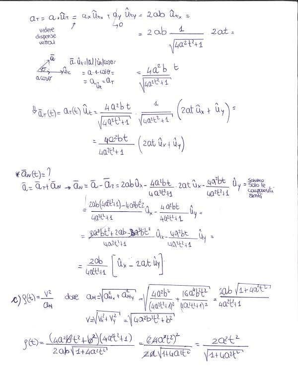
Un punto materiale si sta muovendo nel piano (x,y) secondo la seguente legge oraria: \[ \mathbf{\bar{r}}\left(t\right)=abt^{2}\boldsymbol{\hat{u_{x}}}+bt\boldsymbol{\hat{u_{y}}} \] a) Ricavare l’equazione della traiettoria del punto nel piano cartesiano.
b) Ricavare l’andamento nel tempo del vettore accelerazione tangenziale aT e di quello accelerazione normale aN in modulo direzione e verso.
c) Ricavare l’espressione per il raggio di curvatura.


Chi volesse mi può scrivere al mio indirizzo “interfondam@gmail.com”. Poiché il parametro b ha le dimensioni fisiche di una velocità ed il parametro a, di conseguenza, ha le dimensioni dell’inverso di un tempo, segue che l’espressione ottenuta per il raggio di curvatura NON possiede le dimensioni fisiche di una lunghezza, come invece deve avere.
Il raggio di curvatura finale è impostato bene, ma è stato semplificato male e il risultato finale è 1 più 4 per a quadro t quadro tutto elevato all’esponente 3/2, moltiplicato per b e diviso per il doppio di a
Durante l’espressione per il raggio di curvatura il fatto che semplificate b^2 al numeratore con un b al denominatore (invece di eliminare semplicemente il ^2) è un errore di calcolo? O mi sono perso qualche passaggio?
Salve, potreste spiegarmi per favore perchè nel calcolo del modulo della componente tangenziale dell’accelerazione il contributo in y si annulla?
Il contributo lungo y è nullo perchè quando avevamo calcolato l’accelerazione a ci era venuta rivolta tutta lungo la direzione x.
i calcoli sul raggio di curvatura sono completamente sbagliati, tutte le semplificazioni sono insensate
Gentile Gabriele, mi puoi mandare la tua soluzione o spiegarmi meglio il tuo punto di vista? Saro’ felice di confrontarlo col mio. Grazie.
salve,
una domanda: essendo la componente di x abt2 sostituendo il tempo non dovrebbe essere (y/b)2? perchè invece eleva al quadrato solo y??
Me lo chiedo anche io..
Hai ragione ho dimenticato una b! correggo grazie!
Salve
si potrebbe scrivere il procedimento di vettor A_n come quello precedente?
Grazie
Caro Dario in linea di principio nulla lovieta ma e’ molo piu’ complicato, per cui visto che con un passaggio si puo’ fare…perche’ no? ;)