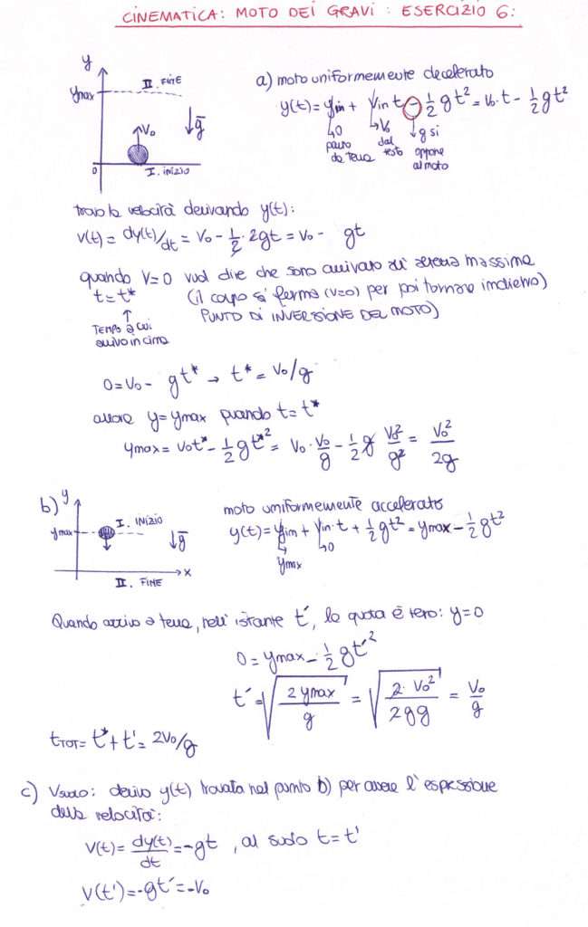
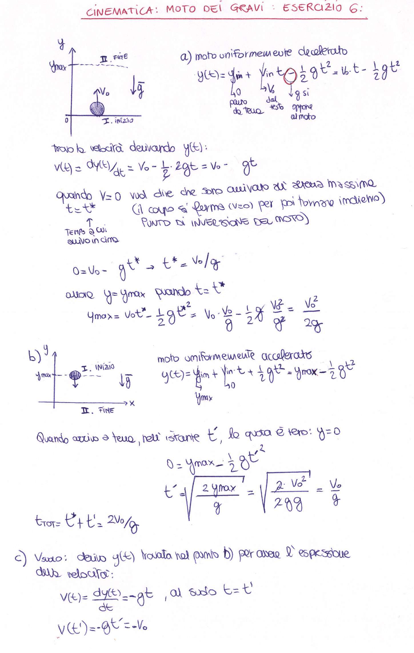
Una pallina viene lanciata in aria, secondo la verticale, con una velocità pari a v0.
a) Quanto vale la massima quota raggiunta?
b) Dopo quanto tempo la pallina ricade a terra? (trascurare gli attriti dell’aria)
c) Quale sarà la velocità finale della pallina? (Un attimo prima di toccare il suolo)

Potete rispiegare quello che avete fatto nel punto c? Non mi torna la derivata che avete trovato.
Ciao, nel punto c abbiamo preso l’espressione della y trovata nel punto b cioè y(t)= ymax-1/2 g t^2 e l’abbiamo derivata rispetto al tempo.
In questo modo abbiamo trovato la velocità pari a v(t)=-gt. Dovendo poi capire la velocità del corpo a terra, quindi quella per t=t’ abbiamo sostituito a t il valore di t’= v0/g ottenendo velocità uguale in modulo ma contraria in verso a v0.
salve, mi sembra di aver trovato un errore quando vi siete calcolati il tempo con cui la pallina raggiunge la verticale. Quando avete posto v=0 avete scritto 0=v0-(1/2)gt*, ma da qui il t* sarà dato da (2*v0)/g o sbaglio?
avevamo fatto un errore di trascrizione prima ora correggiamo tutto! grazie
perchè poi c’è quel meno nella b?
ciao, può essere che abbiate sbagliato la derivata di t^2? perchè sarebbe 2t quindi moltiplicando 2t*1/2g rimane gt?
sbaglio io? mi sono persa qualcosa?
No hai ragione, correggiamo grazie