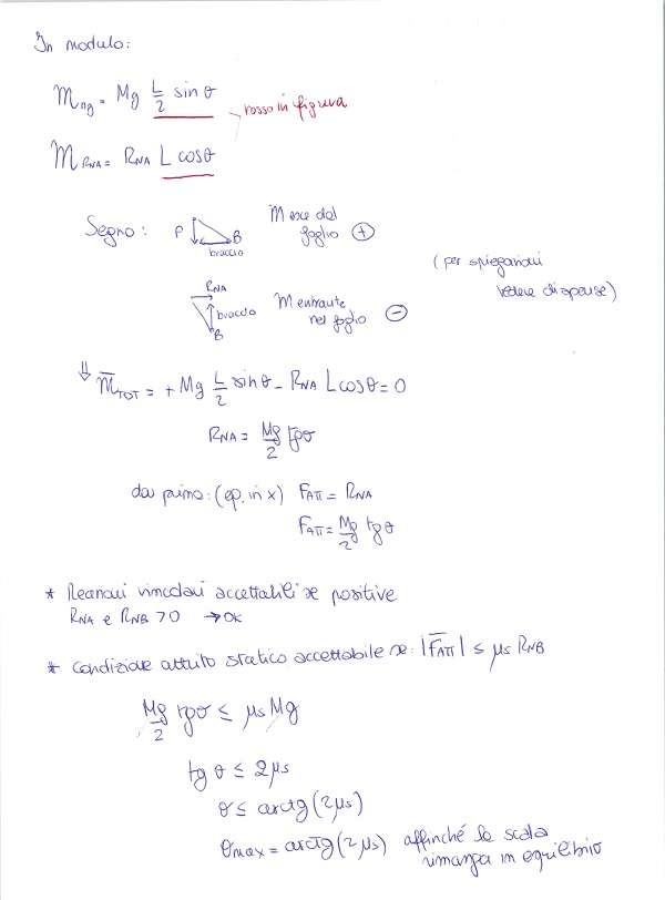
Su di una parete verticale liscia c’è appoggiata una scala di massa m e lunghezza L. Con quale angolo massimo si potrà appoggiare la scala alla parete affinché la scala rimanga in equilibrio? (considerare un attrito statico µs, tra scala e pavimento).


è incorretta la scelta degli angoli per i momenti di Forza Peso e Na, in quanto per Fp si sta prendendo l’angolo compreso tra l’ipotenusa ed un cateto di un triangolo rettangolo che ha angolo THETA alla base, allora l’angolo che cerchiamo sarà 90-THETA, che per gli angoli aggiunti equivale a Cos(THETA), mentre per Na possiamo prendere il Seno di THETA in quanto quella configurazione si può vedere come due angoli alterni interni tra due rette (Vettore Na e PAVIMENTO) tagliate da una trasversale (Braccio della forza), il risultato è parzialmente corretto, basta cambiare Tan(Theta) con Cot(Theta)
Avrei potuto risolverlo con energia potenziale, derivandola e ponendo la derivata = 0 per un determinato angolo, trovando così l’angolo al quale si mantiene l’equilibrio?
Chiedo scusa ma Rnb non dovrebbe essere Mg*cos(teta)?
Vorrei sapere come é stato fatto il calcolo(in modulo) dei momenti RnA e Mg.. Grazie
Nel modulo dei momenti devi mettere il modulo della forza e quello del braccio, per una spiegazione dettagliata puoi andare a vedere le dipsense dei momenti. buono studio
chiedo scusa ma perchè non si conta la forza peso nei momenti?.
perchè è uguale a zero? non dovrebbe avere braccio pari a l/2?
La forza peso c’è nei momenti, non ho contato RNB
scusate, nel calcolo dei momenti di RNA e MG rispetto a B perché si considera in un caso il seno e nell’altro il coseno???
perchè per le formule di trigonometria il braccio in un caso è ipotenusa per il seno dell’angolo teta che è opposto, nell’altro è ipotenusa per coseno di teta che è l’angolo adiacente.
Questo commento è stato eliminato dall’autore.