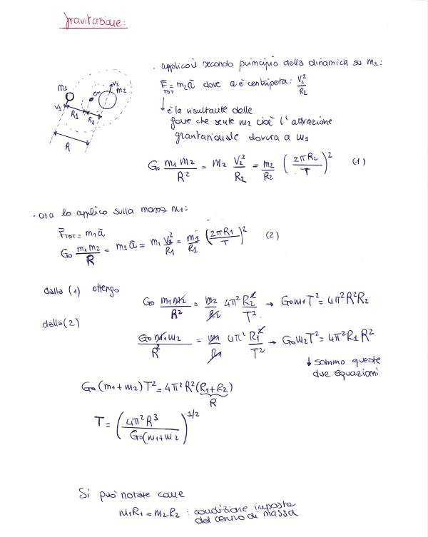
Due stelle, di massa rispettivamente m1 ed m2, stanno ruotando su due orbite circolari attorno al loro centro di massa. Se le due stelle sono poste a distanza R, quel è il loro periodo?
5 thoughts on “Gravitazione – Esercizio 3”
l’accellerazione dovrebbe essere quella dovuta sulla massa, ad esempio Ftot1,2=m2*a1, cioè la forza di m2 su m1 è uguale alla m2*a1. L’accelerazione in questo esercizio invece viene messa sempre la stessa della massa. Perché?
Quando hai un sistema di due equazioni a due incognite hai diversi modi di risolverlo. Per esempio da una equazione trovi un’incognita e la sostituisci dentro all’altra. Oppure puoi sommare le due equazioni, sottrarle e così via. Semplicemente ho accorciato i conti facendo così!
l’accellerazione dovrebbe essere quella dovuta sulla massa, ad esempio Ftot1,2=m2*a1, cioè la forza di m2 su m1 è uguale alla m2*a1. L’accelerazione in questo esercizio invece viene messa sempre la stessa della massa. Perché?
Esatto, come mai i periodi sono uguali se i raggi sono differenti?
perchè i periodi sono uguali?
qual’è il significato logico della somma? perché devo sommarle?
Quando hai un sistema di due equazioni a due incognite hai diversi modi di risolverlo. Per esempio da una equazione trovi un’incognita e la sostituisci dentro all’altra. Oppure puoi sommare le due equazioni, sottrarle e così via. Semplicemente ho accorciato i conti facendo così!