5 esercizi di fisica sull’equilibrio di un corpo rigido.
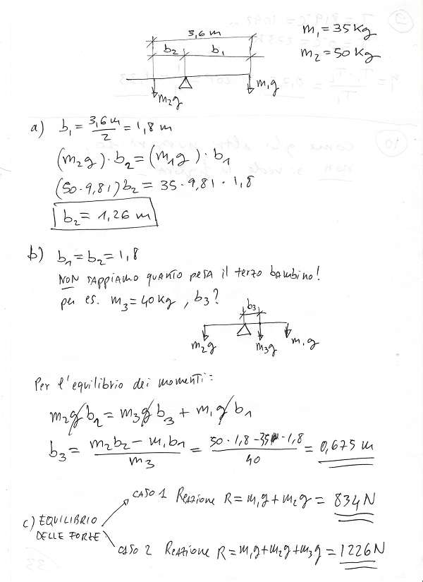
1.Un dondolo è costituito da una tavola uniforme di lunghezza 3.6 m appoggiata su un supporto (fulcro) posto al centro. Se un bambino avente la massa di 35 Kg siede ad una delle estremità della tavola calcolare a quale distanza dal fulcro deve sedere un altro bambino avente la massa di 50 Kg per bilanciare il dondolo. Nell’ipotesi che entrambi i bambini siano seduti alle estremità del dondolo, a quale distanza dal fulcro deve sedersi un terzo bambino per bilanciare il dondolo? Determinare la reazione vincolare che il fulcro esercita sulla tavola nei due casi.
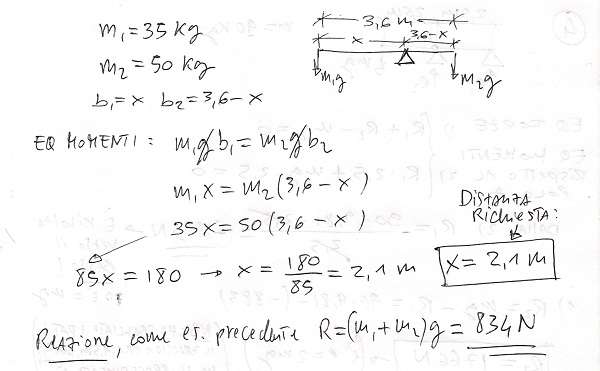
2.Un dondolo è costituito da una tavola uniforme di lunghezza 3.6 m appoggiata su un supporto (fulcro) . Se due bambini aventi masse di 35 Kg e 50 Kg rispettivamente siedono alle estremità del dondolo calcolare a quale distanza dal bambino più leggero deve essere posizionato il fulcro per bilanciare il dondolo. Determinare la reazione vincolare che il fulcro esercita sulla tavola.
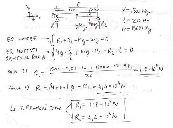
3.Le estremità di una trave uniforme di massa 1500 Kg, lunga 20 m, poggiano su due sostegni verticali. Calcolare le forze agenti su tali sostegni nel caso che una massa di 15000 Kg sia posta a 5 m dal sostegno di destra.
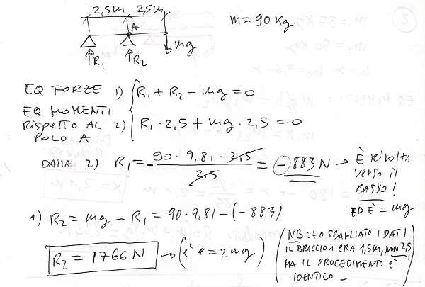
4.Un trampolino di 5 m di massa trascurabile è sostenuto da due piccoli pilastri. Un pilastro è posto all’estremo sinistro l’altro è situato 1.5 m più avanti. Determinare le forze esercitate dai pilastri quando un tuffatore di 90 Kg si trova fermo sull’estremo destro del trampolino.
5.Un gatto cammina lungo una tavola uniforme lunga 4m e avente la massa di 10 Kg. La tavola è sostenuta da due cavalletti uno posto a 0.5 m dall’estremo sinistro e l’altro a 1.5 m dall’estremo destro. Quando il gatto raggiunge l’estremo destro, la tavola comincia a sollevarsi. Determinare la massa del gatto.





Negli esercizi si parla di reazione vincolare opposta ed uguale alla sommatoria delle componenti y delle forze agenti e che trova applicazione sul fulcro. Questo e’ valido anche per leve di secondo e terzo genere ?
a)Non capisco come risolvere l’esercizio 5 . Quale ragionamento completo mi porta a R1 nulla
b)Nell’esercizio 4 ritroviamo R1 rivolta verso il basso , ma dovrebbe essere una reazione vincolare del pilastro 1 ,quindi rivolta verso l’alto …..
Ciao, ormai è passato un anno ma rispondo lo stesso.
Nell’esercizio 5 dice che la tavola si solleva e visto che il gatto è nell’estremità destra la tavola si alza nella parte sinistra (come se fosse un dondolo) quindi la parte sinistra non è più a contatto col suolo e ciò implica che non può esserci una forza vincolare (la forza normale R1)
Nell’esercizio 4 penso abbia sbagliato, dal momento che nell’equilibrio dei momenti R e mg devono avere segno opposto e mi turba una reazione vincolare che è forza peso in questo caso!!
Potresti aiutarmi a fare questo problema una scatola avente la massa di 850g e in equilibrio su un tavolo quanto vale la reazione del piano
-(0,850*9.8)
La reazione vincolare ha modulo uguale e verso opposto della forza peso
La reazione del piano è uguale alla forza peso quindi per prima cosa gli 850g li porti a 0.85kg,poi moltiplichi per g(9.81) e quindi ti viene che la reazione del piano è 8N circa
Ciao Lisa, forse non c’è un dato nel problema. Comunque è da poco attiva la chat con i tutor! qua sotto in basso a destra! Per aiuto nei problemi non presente nel sito puoi chiedere a loro! Buono studio!
Ciao! Mi sapresti aiutare con questo esercizio?
Un dondolo è costituito da una tavola uniforme appoggiata su un supporto( fulcro) posto tra le estremità della tavola. Se un bambino avente la massa di 35kg siede alla distanza (dal fulcro) deve sedere un altro bambino avente massa di 50kg per bilanciare il dondolo. Calcolare, anche la reazione vincolare esercitata dal supporto.
Nell ‘ esercizio 3 in base a cosa scegli il fulcro (polo) di rotazione?
scusa nel primo esercizio mi puoi spiegare come trovare le reazione vincolare delle due masse e del fulcro ? grazie
la reazione vincolare è solo una: quella del fulcro. La ottieni sapendo che le forze peso dei corpi, rivolte verso il basso (la loro somma), devono essere eguagliate dalla reazione del fulcro verso l’alto.
R = m1*g + m2*g se sono due
R = m1*g + m2*g + m3*g se sono tre
Ciao Anonimo,
SI se prendi come positivo il senso antioriario (di norma si fa così), NO se prendi come positivo il senso orario (è questo il caso). In ogni caso il risultato è lo stesso, l’importante è che abbiano lo stesso segno.
nell’esercizio 4 i momenti non dovrebbero essere entrambi negativi?