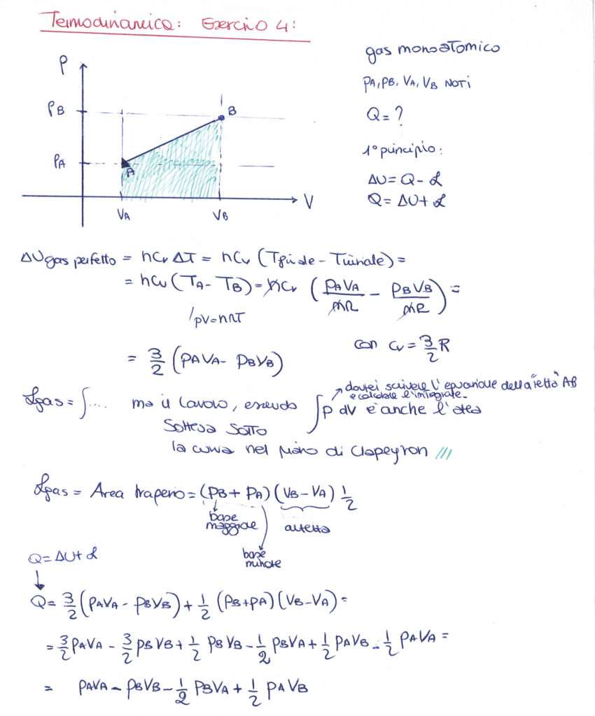
Un gas perfetto monoatomico compie una trasformazione reversibile come mostrato nella figura. Supponendo di conoscere pA, pB, VA e VB, calcolare il calore scambiato dal gas durante la trasformazione.
2 thoughts on “Termodinamica – Esercizio 4”
Ciao :) scusa l’ingnoranza (?) ma nn riesco proprio a capire come l’area del trapezio venga calcolata come (pb- Pa)(altezza)1/2.. l’area di un trapezio e data da base maggiore + base minore per altezza diviso due, ma la base completa sarebbe(Pb + Pa) non meno..usando il meno nn calcolo solo l’area del triangolo sopra? grazie :)
Ciao :) scusa l’ingnoranza (?) ma nn riesco proprio a capire come l’area del trapezio venga calcolata come (pb- Pa)(altezza)1/2.. l’area di un trapezio e data da base maggiore + base minore per altezza diviso due, ma la base completa sarebbe(Pb + Pa) non meno..usando il meno nn calcolo solo l’area del triangolo sopra? grazie :)
LA formula dell’area è giusta e la base maggiore è pb, mentre quella minore è pa