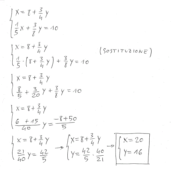
Sistemi lineari – Problema 1 Determinare due numeri sapendo che il maggiore supera di 8 i 3/4 del minore e che la somma di 1/5 del maggiore e dei 3/8 del minore è 10.
Manca il 16 Si ottiene facendo denominatore in comune tra 8/5; 3/20y; 3/8y Cioè 40 Poi si rimuove il 40 tramite il secondo principio e rimane 16+6y+15y=10 21y=-16+10 21y=-6 Divido 21 per tre e ottengo 7y=-2 Rispondi
Manca il 16
Si ottiene facendo denominatore in comune tra 8/5; 3/20y; 3/8y
Cioè 40
Poi si rimuove il 40 tramite il secondo principio e rimane
16+6y+15y=10
21y=-16+10
21y=-6
Divido 21 per tre e ottengo
7y=-2