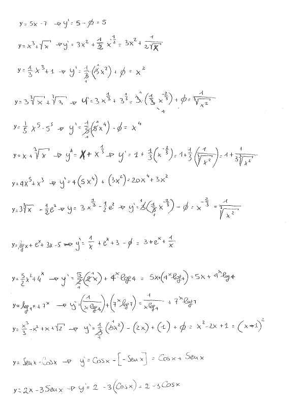
Applicando i teoremi sul calcolo della derivata di una somma algebrica, di un prodotto e di un quoziente di funzioni derivabili e ricordando le derivate fondamentali, calcolare le derivate delle seguenti funzioni:
19 thoughts on “Derivate – Applicazione dei teoremi”
ciao volevo chiederti un chiarimento, perchè al passaggio 1/3 x^3 la derivata è 1/3 (3x^2) quindi si lascia 1/3 mentre per – 1/2 e^2 la derivata è 0? Hai fatto la derivata di 1/2 = 0 moltiplicata per e^2?
No, perchè 1/2 e^2 è un numero (non c’è la x) e la sua derivata è quindi zero.
no caromio la derivata di e^2 è 2e….. e quindi il risultato del 8° è quello che hai scritto ma ci aggiungi -e
f(x)= |x-1|*e^[-(x-1)^2], derivata prima: f'(x)= e^[-(x-1)^2] + |x-1|*e^[-(x-1)^2] * (-2(x-1). Beh! poi risolvo tranquillamente. Volevo sapere se il risultato fosse corretto, cioè se fosse questo il primo passaggio. Grazie
si però la derivata di |x-1| non è 1, ma |x-1|/(x-1)
Ti ringrazio… sei un grande. Sempre disponibile :)
Ciao Anonimo, dire derivata di un rapporto tra funzioni, o dire derivata di un quoziente tra funzioni è la stessa cosa (ed è la soluzione proposta in questo caso). Detto questo, per questo esercizio, che ha al numeratore una costante, c’è un’alternativa: scrivere 3/x come 3x^(-1) e poi derivarla come potenza: f'(x)=3*(-1)*x^(-2) e quindi f'(x)=-3/x^2
scusate ma sono in difficoltà per una cosa che forse sembrerà pure stupida…ma la derivata di un rapporto è possibile farla quando abbiamo f(x)/g(x)?…se è si perchè a y=3/x… hai applicato le regole di derivata del quoziente??
Grazie chiaro e conciso
ottimo lavoro albert, continua così !
ciao volevo chiederti un chiarimento, perchè al passaggio 1/3 x^3 la derivata è 1/3 (3x^2) quindi si lascia 1/3 mentre
per – 1/2 e^2 la derivata è 0? Hai fatto la derivata di 1/2 = 0 moltiplicata per e^2?
CIAO, SCUSA IL DISTURBO. POTRESTI DIRMI IL PROCEDIMENTO DELLA DERIVATA DI (e^X+X)/e^X ?GRAZIE MILLE
derivata di un rapporto di funzioni:
f'(x)=((e^x+1)e^x-(e^x+x)e^x)/e^(2x)
f'(x)=(e^x(e^x+1-e^x-x))/e^(2x)
f'(x)=(1-x)/e^x
Nella due,ultimo passaggio hai fatto come se la somma fosse un prodotto. Qualcosa non mi quadra haha
Hai ragione, ho corretto
Nella 8 quando fai la derivata di 1/2 e^2 diventa 1/2*2*e^1 = e , no?
No, perchè 1/2 e^2 è un numero (non c’è la x) e la sua derivata è quindi zero.
no caromio la derivata di e^2 è 2e….. e quindi il risultato del 8° è quello che hai scritto ma ci aggiungi -e
f(x)= |x-1|*e^[-(x-1)^2], derivata prima:
f'(x)= e^[-(x-1)^2] + |x-1|*e^[-(x-1)^2] * (-2(x-1).
Beh! poi risolvo tranquillamente. Volevo sapere se il risultato fosse corretto, cioè se fosse questo il primo passaggio.
Grazie
si però la derivata di |x-1| non è 1, ma |x-1|/(x-1)
Ti ringrazio… sei un grande. Sempre disponibile :)
Ciao Anonimo,
dire derivata di un rapporto tra funzioni, o dire derivata di un quoziente tra funzioni è la stessa cosa (ed è la soluzione proposta in questo caso). Detto questo, per questo esercizio, che ha al numeratore una costante, c’è un’alternativa: scrivere 3/x come 3x^(-1) e poi derivarla come potenza:
f'(x)=3*(-1)*x^(-2)
e quindi
f'(x)=-3/x^2
scusate ma sono in difficoltà per una cosa che forse sembrerà pure stupida…ma la derivata di un rapporto è possibile farla quando abbiamo f(x)/g(x)?…se è si perchè a y=3/x… hai applicato le regole di derivata del quoziente??
Grazie :) mi è stato di grande aiuto! ottimo lavoro, poter confrontare gli esercizi passo passo con l’esempio svolto mi ha aperto la mente!
nemmeno 1 nai mistuta :P
Si. Il risultato finale viene giusto lo stesso, ma hai ragione. Ciao!
ciao scusa ma nell’ultima non dovrebbe essere 0.senx il primo passaggio?