Il calcolo è fatto considerando il logaritmo naturale.
Alcuni libri indicano ‘ln’ il logaritmo naturale e ‘log’ quello a base 10; altri indicano invece ‘log’ quello naturale e ‘Log’ quello a base 10 …
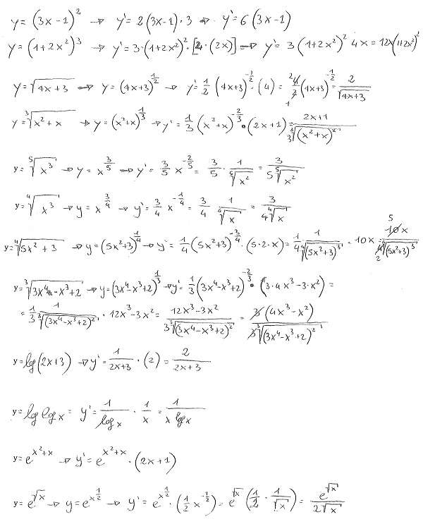
ma al quinto e al sesto esercizio, andando in ordine, perchè non ha moltiplicato il tutto per la derivata di x^3…..per esempio per calcolare la derivata del 5 esercizio non si dovrebbe fare (3/5)*(x)^(-2/5)*(3x^2)=(9*(x^2))/(5*radice a esponente 5 di x^2 ???
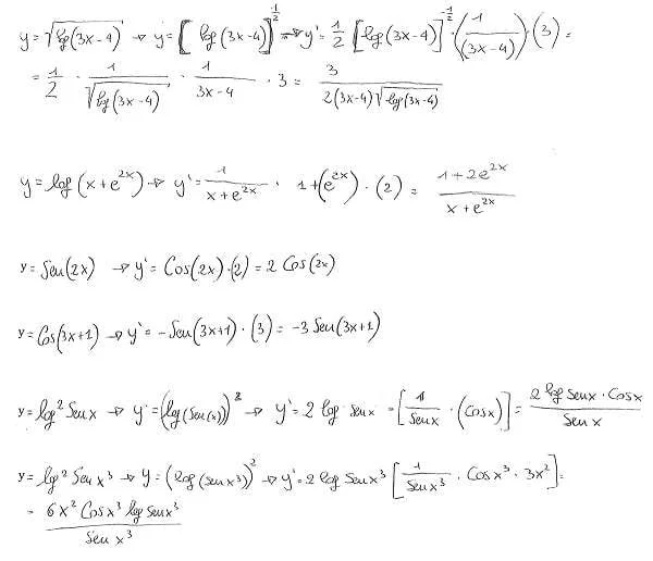
Nella 14esima (mi pare), ovvero, y=log(x+e^2x) , penso tu ti sia dimenticato un denominatore (o una parentesi) nello svolgimento della derivata.
Io lo segnalo, se sono in torto chiedo scusa :)
Ciao! avevo una domanda riguardo il 1 esercizio: noi a scuola dopo aver sviluppato la formula, non andiamo avanti. nel senso: y=(3x-1)^2 —-> y^I=2(3x-1) . 3
rad_5 (x^3) = (x^3)^(1/5) = x^(3/5) e poi derivo la potenza
Ciao, diciamo che io sviluppo il secondo risultato e dovrebbe venire alla fine: 32x^4 + 32x^3 + 16x, è sbagliato dividere tutto per 16 e far venire 2x^4 + 2x^3 + x? Grazie!
Raga forse non riesco ad applicare bene la potenza ma a questa derivata nn mi trovo (x-1)^2(x-2 ) E questa (sen^2x cosx + tgx) mi scrivete cortesemente i passaggi da fare?
Albert potresti aiutarmi a svolgere la derivata seconda della funzione x^2 e^1/x^2? La derivata prima mi esce 2e^1/x^2 (x^2 – 1) tutto fratto x. Grazie mille.. :)
E’ lunga far qui tutti i passaggi… fai una cosa: trasforma la derivata prima (che è giusta) in somma:
2xe^(1/x^2) -(2e^(1/x^2))/x
in questo modo puoi fare le due derivate (la prima è un prodotto, la seconda un rapporto) una alla volta e poi sottrarle. Se alla fine fai il comune denominatore e metti tutto insieme ti viene:
f(x) = e elevato alla -7x help!!
f(x) = lg 2x
Come faccio la derivata di 1 / radice di 4-×^2
Nella nove c’è un incongruenza in quanto la derivata e del logaritmo naturale e non decimale. Comunque ottimo sito
Il calcolo è fatto considerando il logaritmo naturale.
Alcuni libri indicano ‘ln’ il logaritmo naturale e ‘log’ quello a base 10; altri indicano invece ‘log’ quello naturale e ‘Log’ quello a base 10 …
ma al quinto e al sesto esercizio, andando in ordine, perchè non ha moltiplicato il tutto per la derivata di x^3…..per esempio per calcolare la derivata del 5 esercizio non si dovrebbe fare (3/5)*(x)^(-2/5)*(3x^2)=(9*(x^2))/(5*radice a esponente 5 di x^2 ???
Nella 14esima (mi pare), ovvero, y=log(x+e^2x) , penso tu ti sia dimenticato un denominatore (o una parentesi) nello svolgimento della derivata.
Io lo segnalo, se sono in torto chiedo scusa :)
se passo l’esame di analisi è tutto merito tuo e non della prof!!
poi ti offro da bere!!
Ottimo sito . Mi ha fatto capire come operare per risolvere la derivata di una funzione composta con tanta chiarezza Veramente bravo
Grazie! Sempre felice di esservi di aiuto ^^
Questo commento è stato eliminato dall’autore.
Un grazie di cuore per tutto cio che fai … veramente.
ho una domanda per l’ultimo esercizio: è possibile staccare la frazione e trasformare una parte di essa in cotgx^3? la parte cosx^3 / senx^3
Questo commento è stato eliminato dall’autore.
Ciao! avevo una domanda riguardo il 1 esercizio: noi a scuola dopo aver sviluppato la formula, non andiamo avanti. nel senso: y=(3x-1)^2 —-> y^I=2(3x-1) . 3
ed è finito. è giusto?
si, beh però 2*3=6 lo potreste fare :)
scusami alla 5 perchè rad x^3,il tre viene messo d’avanti e diventa 3/5???
rad_5 (x^3) = (x^3)^(1/5) = x^(3/5)
e poi derivo la potenza
Ciao, diciamo che io sviluppo il secondo risultato e dovrebbe venire alla fine: 32x^4 + 32x^3 + 16x, è sbagliato dividere tutto per 16 e far venire 2x^4 + 2x^3 + x?
Grazie!
Puoi raccogliere il 16 (non dividere, non è un’equazione)
Ho un dubbio sul secondo esercizio della seconda pagina… il risultato non dovrebbe rimanere 1/(x+e^2x) + 2e^2x ? grazie, complimenti per il sito :)
No, stai derivando un funzione composta: c’è il * e non il +
grazie!
Ciao, potresti aiutarmi con questa derivata
radice(x)*(4logx-3)
y = rad(x) * (4logx-3)
y’ = 1/(2rad(x)) * (4logx-3) +rad(x) * 4/x
e poi se vuoi puoi fare il minimo comun divisore per sistemarla…
Poi nella seconda non si potrebbe eliminare la radice mettendo sia il numeratore che il denominatore elevato alla seconda?
Grazie ancora.
Nella seconda non ci sono radici…
Ciao. Nel secondo esercizio sul ultimo passaggio come mai non si tocca la parentesi (1+2x^2)^2?
Grazie anticipatamente.
Se vuoi puoi sviluppare i conti, ma verrebbe semplicemente il risultato scritto in una forma più lunga…
Come si risolve la seguente?
e elevato ln(1\x)
f = e^ln(1/x)
f’ = e^ln(1/x) * 1/(1/x) * (-1/x^2)
f’ = e^ln(1/x) * x * (-1/x^2)
f’ = e^ln(1/x) * (-1/x)
f’ = -e^ln(1/x) / x
Help come si fa questa?
Rdice di x al quadrato – 4x + 8 + radice di 2
f=rad(x^2-4x+8+rad2)
f’= 1/(2rad(x^2-4x+8+rad2)) *(2x-4) =
= (2x-4)/(2rad(x^2-4x+8+rad2))
Grazie mille :)
Raga forse non riesco ad applicare bene la potenza ma a questa derivata nn mi trovo (x-1)^2(x-2 )
E questa (sen^2x cosx + tgx) mi scrivete cortesemente i passaggi da fare?
1) f’=2(x-1)(x-2)+(x-1)^2=
=(x-1)(2x-4+x-1)=(x-1)(3x-5)
2) f’=2senxcosx*cosx+(senx)^2(-senx)+1/(cosx)^2=
=2senx(cosx)^2-(senx)^3+1/(cosx)^2
Albert potresti aiutarmi a svolgere la derivata seconda della funzione x^2 e^1/x^2? La derivata prima mi esce 2e^1/x^2 (x^2 – 1) tutto fratto x.
Grazie mille.. :)
E’ lunga far qui tutti i passaggi… fai una cosa: trasforma la derivata prima (che è giusta) in somma:
2xe^(1/x^2) -(2e^(1/x^2))/x
in questo modo puoi fare le due derivate (la prima è un prodotto, la seconda un rapporto) una alla volta e poi sottrarle.
Se alla fine fai il comune denominatore e metti tutto insieme ti viene:
http://www.wolframalpha.com/input/?i=der+%282e^%281%2Fx^2%29+%28x^2-1%29%29%2Fx
ok perfetto!! Grazie mille :)
Ciao Anonimo,
perchè 2senx*cosx = sen2x è la formula di duplicazione del seno.
ho un po di confusione con la trigonometria. mi potresti spiegare perchè nella 15 2senx*cosx diventa sen2x al passaggio successivo? :'(
Te la stringo volentieri, in bocca al lupo!
se mi fai passare l esame ti stringo la mano.
Imperfezione modificata, grazie!
nell’esercizio 18 alla prima derivazione manca la derivata del seno. Occorre aggiungere il prodotto del coseno di x.
Graziee *__*
Si infatti…adesso c’è anche il meno, grazie!
la 8 non dovrebbe essere -tgx ?
Grande XD
Sono da solo :)
Grazie!!
gestisci tu tutto? bèh complimenti!!! è un sito utilissimo…
bravissimi :)
Grazie caro amico anonimo! ;)
grandeeeeeeeeeeeeeeeeeeeeeeeeeee