Derivate e limiti – Regola di De L’Hopital Applicando la regola di De L’Hopital, calcolare i seguenti limiti che si presentano nella forma indeterminata [0/0] o [∞/∞] :
C’è per forza un errore sì. O ha sbagliato a derivare, o ha sbagliato a scrivere la frazione iniziale che doveva essere (2x-x^4).
basta applicare una volta de l’hopital: lim_(x->0) (2x-2xcosx^2)/(2x+2xcosx^2)lim_(x->0) 2x(1-cosx^2) / 2x(1+cosx^2)lim_(x->0) (1-cosx^2) / (1+cosx^2) = 0/2 = inf
derivi numeratore e denominatore 2 volte: lim_(x->inf) x^2/e^x = [inf/inf] =lim_(x->inf) (2x)/e^x = [inf/inf] =lim_(x->inf) 2/e^x = 2/inf = 0
Si scusa in effetti non era lungo:Vai con McLaurin, ti viene:lim_(x->o) (1-(1 -1/2 x^2)^3)/(x x *1) =(ricorda che (1+t)^a=1+at+o(t) )lim_(x->o) (1-(1 -3/2 x^2))/x^2 =lim_(x->o) (3/2 x^2)/x^2 = 3/2
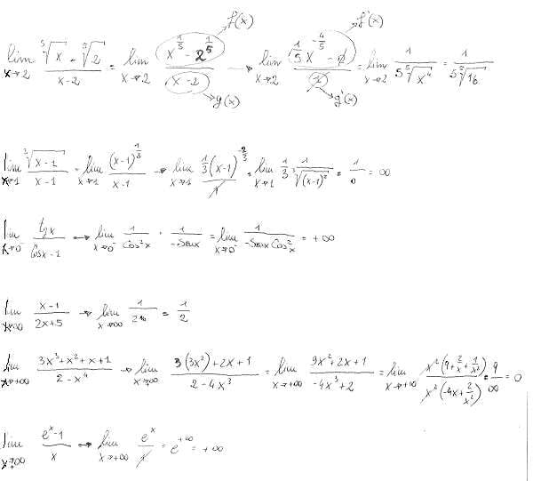
Quarto limite, dopo aver derivato gli argomenti, cosa c’è scritto di fianco al 2 del denominatore? L’ultimo passaggio prima della soluzione. Rispondi
Albert, 5° esercizio, 2 a denominatore: perchè non scompare con la derivata?
Questo commento è stato eliminato dall’autore.
C’è per forza un errore sì. O ha sbagliato a derivare, o ha sbagliato a scrivere la frazione iniziale che doveva essere (2x-x^4).
scusa Albert, ma 0/N (nell’ultimo esercizio, 0/2) non è uguale a 0 ?
potresti aiutarmi con questo?
lim_(x->0) (x^2-sinx^2)/(x^2+sinx^2)
basta applicare una volta de l’hopital:
lim_(x->0) (2x-2xcosx^2)/(2x+2xcosx^2)
lim_(x->0) 2x(1-cosx^2) / 2x(1+cosx^2)
lim_(x->0) (1-cosx^2) / (1+cosx^2) = 0/2 = inf
non ho capito molto mi potresti aiutare con questo?
lim -> infinito x^2/e^x
derivi numeratore e denominatore 2 volte:
lim_(x->inf) x^2/e^x = [inf/inf] =
lim_(x->inf) (2x)/e^x = [inf/inf] =
lim_(x->inf) 2/e^x = 2/inf = 0
grazie :) gentilissimo
potresti provare a darmi una spiegazione di come farlo così vedo se ci riesco io?
Si scusa in effetti non era lungo:
Vai con McLaurin, ti viene:
lim_(x->o) (1-(1 -1/2 x^2)^3)/(x x *1) =
(ricorda che (1+t)^a=1+at+o(t) )
lim_(x->o) (1-(1 -3/2 x^2))/x^2 =
lim_(x->o) (3/2 x^2)/x^2 = 3/2
non è cosdi 3x ma cos al cubo di x
troppo lungo farlo qui, mi dispiace…
ciao mi puoi calcolare questo limite:
lim 1-cos3x / xsenxcosx
x->0
Quarto limite, dopo aver derivato gli argomenti, cosa c’è scritto di fianco al 2 del denominatore? L’ultimo passaggio prima della soluzione.
Niente, è una cancellazione
Grazie;)
puoi ricaricare l’immagine?
Fatto, grazie della segnalazione!