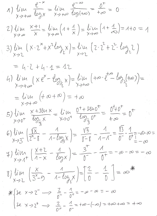
Tenendo presente i teoremi sulle operazioni sui limiti e la continuità delle funzioni elementari, calcolare i seguenti limiti:
12 thoughts on “Limiti di funzioni – Operazioni sui limiti 2”
Ciao, potresti spiegarmi perché nell’esercizio 5) log in base 1/3 di 0 ti è venuto +infinito? Perché da quanto so io, guardando anche il grafico, log di 0 fa -infinito.
Ciao, non capisco perchè alla fine del 4 esercizio ti esca +infinito x +infinito. Non dovrebbe essere +infinito x -infinito? C’è il meno davanti il log…
non è più comodo usare la regola della x con esponente più alto? si tiene la x a numeratore con esponente più alto e la x a denominatore con esponente più alto.. quindi diventa lim x->infinito di x/x che è uguale al lim x->infinito di 1 che è uguale a 1.. è molto più veloce e comodo e lo si può fare solo quando la x tende a infinito
ciao albert, volevo sapere nell’es. 8, per x che tende a 2+, perche 1/1-logx diventa 1/0- invece di 1/0+?
Perchè ho sbagliato, hai fatto bene a segnalarmelo, anche se poi il risultato finale viene uguale. Ho corretto, grazie!
no invece era corretto a mio parere… il logaritmo sarebbe: l’esponente che devi dare a 1/2 per avere + infinito
(1/2)^k= infinito che puoi scrivere come 1/(2^k)….
ora come puoi notare se l’esponente tende a infinito come dici tu il risultato verrebbe 0.
se invece K tende a 0 il denominatore diventa sempre più piccolo il che fa crescere il numeratore e far tendere il logaritmo all’infinito come richiesto dall’esercizio.
alla fine viene lim–> infinito +0 = infinito
scrivendo come è riportato sul foglio invece verrebbe una forma indeterminata – + inifinito…. oltre che sbagliato come calcolo.
^_^
Dal tuo ragionamento 1/(2^k) per k che tende a zero il denominatore tende a 1 (e non zero)
1/(2^k)=0 per k che tende a -inf, e il limite diventa:
Ciao, potresti spiegarmi perché nell’esercizio 5) log in base 1/3 di 0 ti è venuto +infinito? Perché da quanto so io, guardando anche il grafico, log di 0 fa -infinito.
Ma se nell’ottavo esercizio non studio il limite con 2- e 2+ ma semplicemente con due viene la forma indeterminata oo-oo giusto?
Ciao, non capisco perchè alla fine del 4 esercizio ti esca +infinito x +infinito. Non dovrebbe essere +infinito x -infinito? C’è il meno davanti il log…
Ciao Albert, mi potresti spiegare perchè nell’esercizio due hai scritto 1+1\x perchè io avrei sostituito semplicemente oo alla x ma poi non si trova
per evitare la forma indeterminata inf/inf
non è più comodo usare la regola della x con esponente più alto?
si tiene la x a numeratore con esponente più alto e la x a denominatore con esponente più alto..
quindi diventa lim x->infinito di x/x che è uguale al lim x->infinito di 1 che è uguale a 1..
è molto più veloce e comodo e lo si può fare solo quando la x tende a infinito
ciao albert, volevo sapere nell’es. 8, per x che tende a 2+, perche 1/1-logx diventa 1/0- invece di 1/0+?
perchè log(2+)=1+ e quindi 1-(1+)=0-
perchè log in base 1/2 di infinito = 0?
Perchè ho sbagliato, hai fatto bene a segnalarmelo, anche se poi il risultato finale viene uguale. Ho corretto, grazie!
no invece era corretto a mio parere…
il logaritmo sarebbe:
l’esponente che devi dare a 1/2 per avere + infinito
(1/2)^k= infinito
che puoi scrivere come
1/(2^k)….
ora come puoi notare se l’esponente tende a infinito come dici tu il risultato verrebbe 0.
se invece K tende a 0 il denominatore diventa sempre più piccolo il che fa crescere il numeratore e far tendere il logaritmo all’infinito come richiesto dall’esercizio.
alla fine viene lim–> infinito +0 = infinito
scrivendo come è riportato sul foglio invece verrebbe una forma indeterminata – + inifinito…. oltre che sbagliato come calcolo.
^_^
Dal tuo ragionamento 1/(2^k) per k che tende a zero il denominatore tende a 1 (e non zero)
1/(2^k)=0 per k che tende a -inf, e il limite diventa:
inf-(-inf)=inf+inf=inf