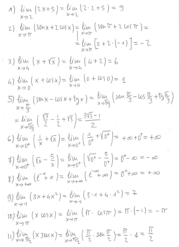
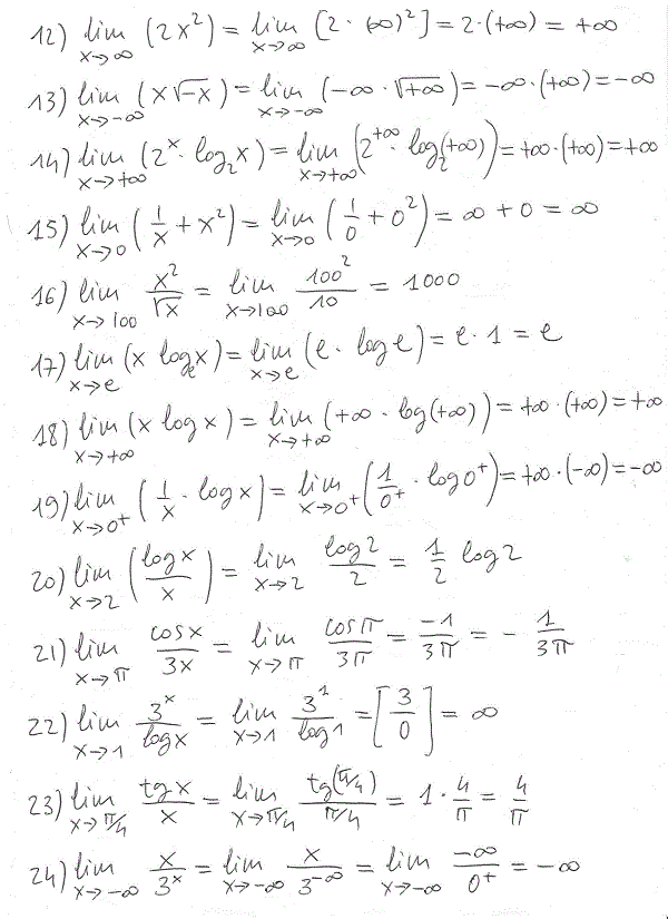
Tenendo presente i teoremi sulle operazioni sui limiti e la continuità delle funzioni elementari, calcolare i seguenti limiti:
4 thoughts on “Limiti di funzioni – Operazioni sui limiti 1”
Scusate,ma nell’esercizio 22 si hanno due risultati in base al fatto se si considere il limite da sinistra o destra ;) perchè viene dato il risultato singolo?? grazie :)
io non credo che il risultato sia singolo.. il fatto di non mettere + o il – davanti ad infinito si intende proprio che è +/-infinito il risultato e x tende a +/- 1.. infatti nei limiti dove il risultato è solo +infinito o solo – infinito è sempre specificato il segno!
Ciao Anonimo, nel linguaggio dei limiti: infinito per infinito = infinito e fin qua mi pare che ci siamo. Ma il segno dell’infinito risultante dipende dai segni degli infiniti fattori, non dal loro ordine come dici tu. Quindi:
Salve, nell’esercizio 19 l’infinito di ordine maggiore dovrebbe essere 1/x e non log x e di conseguenza cambia il segno del risultato, è possibile o sbaglio concettualmente qualcosa? Grazie
Scusate,ma nell’esercizio 22 si hanno due risultati in base al fatto se si considere il limite da sinistra o destra ;) perchè viene dato il risultato singolo?? grazie :)
io non credo che il risultato sia singolo.. il fatto di non mettere + o il – davanti ad infinito si intende proprio che è +/-infinito il risultato e x tende a +/- 1..
infatti nei limiti dove il risultato è solo +infinito o solo – infinito è sempre specificato il segno!
Ciao Anonimo,
nel linguaggio dei limiti:
infinito per infinito = infinito
e fin qua mi pare che ci siamo.
Ma il segno dell’infinito risultante dipende dai segni degli infiniti fattori, non dal loro ordine come dici tu. Quindi:
+inf * -inf = -inf
Salve, nell’esercizio 19 l’infinito di ordine maggiore dovrebbe essere 1/x e non log x e di conseguenza cambia il segno del risultato, è possibile o sbaglio concettualmente qualcosa? Grazie