Limiti di funzioni – Sviluppi in serie di Taylor e McLaurin 2
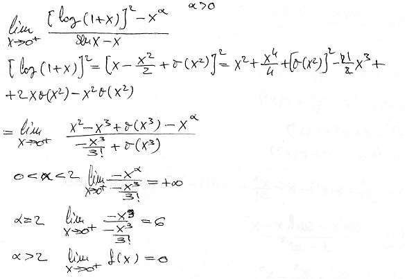
Esercizio 1:
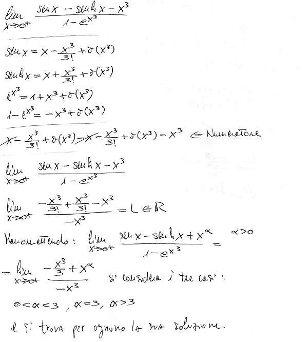
Esercizio 2:
One thought on “Limiti di funzioni – Sviluppi in serie di Taylor e McLaurin 2”
Svolgendo il secondo esercizio, mi risulta diverso perché nel limite per x che tende a 0, domina la x con esponente minore! Quindi:
Se alpha=2 al numeratore resta -x^3 e quindi il limite fa 6
Se alpha2 le x con esponente>2 si cancellano e quindi risulta -infinito
Svolgendo il secondo esercizio, mi risulta diverso perché nel limite per x che tende a 0, domina la x con esponente minore! Quindi:
Se alpha=2 al numeratore resta -x^3 e quindi il limite fa 6
Se alpha2 le x con esponente>2 si cancellano e quindi risulta -infinito