Scarica tutti i 101 studi in formato PDF e sostieni il progetto Matepratica con soli 3,99€: clicca qui per effettuare il pagamento, riceverai subito un link via mail dove poter scaricare uno Zip con tutti gli studi pubblicati sul sito in versione PDF. Per ulteriori info scrivi a info@matepratica.it
Scarica tutti i 101 studi in formato PDF e sostieni il progetto Matepratica con soli 3,99€: clicca qui per effettuare il pagamento, riceverai subito un link via mail dove poter scaricare uno Zip con tutti gli studi pubblicati sul sito in versione PDF. Per ulteriori info scrivi a info@matepratica.it



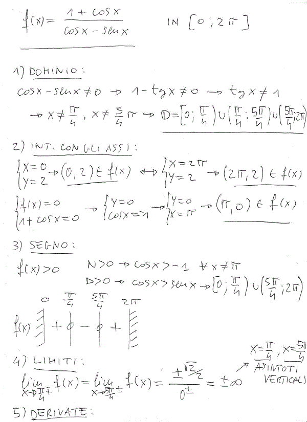
Come mai, nello studio del segno, il numeratore viene posto maggiore, e non maggiore è uguale?
Ma nel dominio, la tgx diversa da 1 non sia ha per x diverso da pigreco/4 e x diverso da 3/4 pigreco?
Ma nelle CE quando dividiamo per cosx non dovremmo porre la condizione cosx diverso da zero e poi verificare se per cosx=0 troviamo delle soluzioni?
Albert perchè Nel dominio oltre a pigreco/4 si deve aggiungere anche 5/4pigreco? Come facevo a sapere di doverlo mettere?
Questo commento è stato eliminato dall’autore.
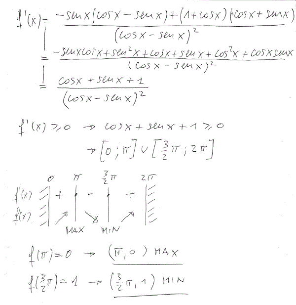
come capisco la decrescenza e crescenza di f'(x) , devo risolvere f'(x)>=0 ?? come con le parametriche? e neanche riesco a trovarmi questi intervalli , mi spiegheresti in dettaglio il tutto?
ma nella derivata prima f/g non dovrebbe essere = f’g – fg’ / g^2 !?!?!? perchè metti +!? e inoltre perchè quando derivi g (cosx – senx) = senx + cosx !?!?!!?!?!?!??
perchè g’=-senx-cosx , ma portando fuori il meno…il meno della formula diventa più, e l’ultima parentesi resta senx+cosx
Come mai non viene calcolata la derivata seconda?
Nessun motivo in particolare, è stato omesso il calcolo
O meglio, perchè poni proprio t= tg x/2 ??
In ogni caso rimane cosi facendo tg(x/2) >= -1, poi come si prosegue??
vedi commento 2
Ciao come hai svolto la disequazione di f'(x)?
Ciao Albert, mi potresti rendere più chiaro lo svolgimento del limite? non capisco bene quando hai fatto x-> π/4 -/+ e x-> π/4 +/- e il risultato finale.
Ti ringrazio anticipatamente e complimenti per il sito veramente molto utile
Nico
pi/4 e 5/4 pi sono i valori per i quali si annulla il denominatore di f(x). Quindi, nel linguaggio dei limiti ottengo numero/0 = infinito.
ps: effettivamente al numeratore manca un 1: dovrebbe essere 1+-rad2/2, ma questo non cambia le cose
Ciao Albert !
Scusami, potresti chiarirmi i passaggi che svolgi per definire il segno della funzione?
Vedi, quando io pongo il denominatore : cosx – senx > 0 , dividendo per cosx ottengo : tgx < 1 … a questo punto, facendo il grafico della tg, io prendo in considerazione solo le soluzioni minori di 1.
Non riesco a capire perchè tu invece prendi in considerazione l’intervallo (5/4 pi ; 2pi ).
Mi daresti una mano? Grazie! :)
non puoi dividere per cosx: non sai se è positivo o negativo, e questa è una DISequazione.
cosx=senx per 45, 135, 225 e 315 gradi, e se disegni la circonferenza goniometrica ti rendi conto che cosx>senx tra 0 e 45° e tra 225 e 360°
Ciao,scusa,ma se faccio l’equazione associata e seguo il procedimento di Miriam, trovo le due soluzioni e trovo l’intervallo con la parabola, è giusto come ragionamento?
è giusto fare l’equazione associata, ma poi le soluzioni le devi valutare nella circonferenza goniometrica, non con la parabola…
Divido a destra e a sinistra per cosx:
cosx/cosx – sinx/cosx = 0/cosx
1 – tgx = 0
Scusa albert nel dominio non mi è ben chiaro perchè si passa da cosx-sinx=0 a 1-tgx.
Ciao Anonimo,
puoi usare le formule parametriche:
posto t= tg(x/2),
senx = (2t)/(1+t^2)
cosx = (1-t^2)/(1+t^2)
e ti resta così una sola disequazione nell’incognita t=tg(x/2)
mi può spiegare il passaggio della derivata 1 …da senx +cosx+1 >0 ??? come arriva al risultato ?’grazie