Scarica tutti i 101 studi in formato PDF e sostieni il progetto Matepratica con soli 3,99€: clicca qui per effettuare il pagamento, riceverai subito un link via mail dove poter scaricare uno Zip con tutti gli studi pubblicati sul sito in versione PDF. Per ulteriori info scrivi a info@matepratica.it
Scarica tutti i 101 studi in formato PDF e sostieni il progetto Matepratica con soli 3,99€: clicca qui per effettuare il pagamento, riceverai subito un link via mail dove poter scaricare uno Zip con tutti gli studi pubblicati sul sito in versione PDF. Per ulteriori info scrivi a info@matepratica.it



cosx/senx = cotx, non tanx
Salve. Come mai nello studio del segno il denominatore è compreso tra π/6 e 7/6π?
Io ho studiato il numeratore nella forma più semplice che è tanx > rad3/3. Ho eseguito e rieseguito il calcolo varie volte, ma ottengo sempre lo stesso risultato: il denominatore > 0 quando π/6 < x < π/2 oppure 7/6π < x 0 è uguale a tanx > rad3/3, come mai escono risultati diversi?
Ho dato in pasto a Wolframalpha la forma con cui ho studiato il denominatore e il grafico che ne è risultato non mente!
Potreste spiegarmi meglio questo strano risultato?
Nel momento in cui si riduce alla forma tgx>1/√3 si dividono entrambi i membri per cosx. Affinché essi non cambino di segno, è necessario che il cosx sia maggiore di zero. Andando a mettere a sistema questa condizione con il risultato della disequazione, esce che il denominatore è positivo tra 1/6 di pigreco e 7/6 di pigreco. Spero di esser stato utile.
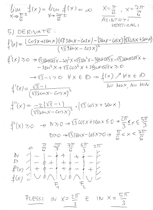
derivata seconda numeratore e denominatore non capisco il passaggio
nello studio del segno della derivata prima, come esce quel radice(3) – 1 ?
Io mi ritrovo rad(3) + rad(3)cos^2 – 1
se 0 e 2pi appartengono al dominio non sono rispettivamente p.ti di minumo e massimo relavito?? grazie!!
Si, certo!
Ciao Albert, mi spiegheresti da dove prendi 7/6 pi???come lo ricavi?
7/6 pi concide con 210°, e la tangente di questo angolo (così come quella di pi/6=30°) vale rad3/3.
Ringraziandoti per l’aiuto, vorrei chiederti sbaglio se adopero il confronto grafico, invece di passare per la tangente, per il dominio, intersezione asse x ect?
Perchè la derivata del numeratore è zero, infatti rad3-1 è un numero (costante).
perchè nella derivata seconda tralascia la prima parte ? cioè la derivata del numeratore per il denominatore senza derivare?grazie
Perchè il seno è maggiore del coseno tra 45 e 225 gradi.
come mai nello studio del segno prende i valori di x compresi tra pi greco quarti e cinque quarti pi greco e non i valori esterni?