Scarica tutti i 101 studi in formato PDF e sostieni il progetto Matepratica con soli 3,99€: clicca qui per effettuare il pagamento, riceverai subito un link via mail dove poter scaricare uno Zip con tutti gli studi pubblicati sul sito in versione PDF. Per ulteriori info scrivi a info@matepratica.it
Scarica tutti i 101 studi in formato PDF e sostieni il progetto Matepratica con soli 3,99€: clicca qui per effettuare il pagamento, riceverai subito un link via mail dove poter scaricare uno Zip con tutti gli studi pubblicati sul sito in versione PDF. Per ulteriori info scrivi a info@matepratica.it



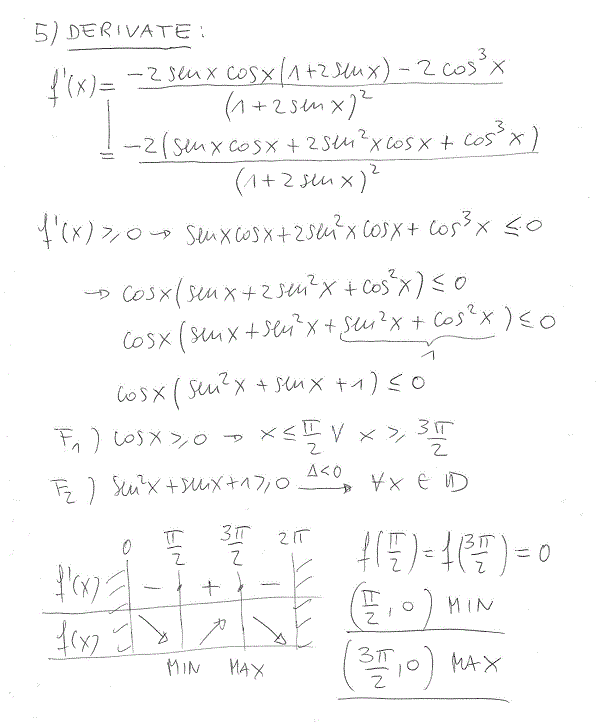
scusami, perché non hai calcolato i flessi??
ho risolto
bene!
ciao albert volevo sapere come mai nelle derivate quando hai posto f(x)>=0 il -2 che stava nella derivata f1(x) che fine fa?? grazie in anticipo
Salve Albert, complimenti per il sito..
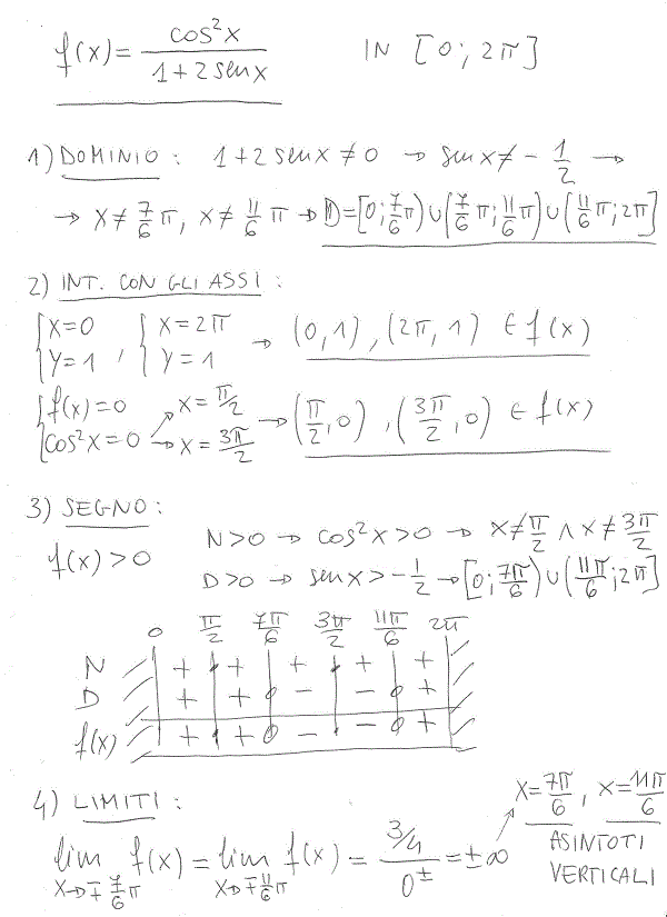
Volevo porle una domanda, se non le è di disturbo, ma nel dominio di questa funzione come riesce a trovare che, il seno di x diverso da -1/2, da come valori x diversa da 7/6 Pi.Greca, e x diversa da 11/6 Pi.Greca??
La ringrazio per la risposta!..
Disegna la circonferenza goniometrica -> traccia la retta orizzontale y=-1/2 -> essa genera due intersezioni con la circonferenza: x=180+30=210gradi e x=360-30=330gradi, che corrispondono in radianti a 7/6 pi e 11/6 pi
buonasera, ringrazio in anticipo per l’aiuto.
non riesco a capire il risultato del dominio della funzione.
secondo il mio ragionamento:
senx è diverso da -1/2 quando x è diverso da 120° ossia 2pi/3
perché vengono 7pi/6 e 11pi/6?
ehm, scusami ho risolto! ho capito l’errore ;)
senx è diverso da -1/2 quando x è diverso da 150° e da 330°.
non avevo considerando il segno negativo di -1/2
ok ;)
Buonasera, credo ci sia un errore nel calcolo dei limiti:
limite per x—->7/6 -+ da +- infinito
limite per x—->11/6 -+ da -+ infinito
Si hai ragione: grazie della puntualizzazione!
Scusami, ma quando poniamo la derivata prima > 0 .. non dobbiamo porre anche il denominatore > 0 ? Perchè lo tralasci? grazie!
perchè è un quadrato quindi sempre positivo nel dominio
ma nel dominio la x è diversa da 7/6 pi e 10/6 pi , o mi sbaglio?
non ti sbagli ;)
nella funzione da te studiate cos(x)+1/2 sen2x il dominio studiato era anke lì [0,2pi] ma nell’intersezione cn l’asse x, hai studiato solo per x=0 e nn anke x=pi!! c’è una regola da seguire??
x=2pi è un confine (assieme a x=0) del dominio richiesto, quindi è importante studiarne l’intersezione per disegnare correttamente il grafico.
Detto questo, le funzioni goniometriche assumono lo stesso valore per x=0 e x=2pi perchè sono angoli sovrapposti, quindi se in altri studi non ho fatto l’intersezione con x=2pi è perchè ho sottointeso che f(2pi)=f(0)
nelle altre funzioni ke avevi il dominio [0,2pi] qnd facevi l’intersezioni studiavo sempre per x=0 e y=0. invece qui hai studiato anke x=2pi, si dv studiare solo in qst caso perchè?
ma xkè nello studio del segno si dv studiare anke x=2pi, l’hai sempre studiato sl x=0????
Non capisco la domanda…comunque x=2pi appartiene al dominio come x=0, quindi bisogna tenerne conto.
Ciao Albert, nell ‘intersezione con gli assi che calcoli fai??
Prima pongo x=0 e lo sostituisco nella funzione iniziale: ottengo y=1 e quindi il punto (0;1).
Pongo anche x=2pi perchè devo studiare la funzione tra 0 e 2pi, e quindi mi è utile l’intersezione anche con quest’ultimo asse: trovo il punto (2pi;1).
Per trovare le intersezioni con l’asse x devo porre y=0, ovvero f(x)=0. La nostra funzione è una fratta, per cui si annulla quando si annulla il numeratore, ovvero quando cosx=0 –> x=90° e x=270° –> In radianti: x=pi/2 e x=3/2 pi.
Di conseguenza trovo i punti (pi/2;0) e (3/2 pi;0).
Perchè intanto trovo quando è maggiore, per gli altri valori del dominio sarà minore. Stessa cosa per il fattore F2. Poi visto che F2 è sempre positivo, il segno del prodotto coincide col segno di F1 (cosx). Ora, visto che avevo cambiato verso alla disequazione, la f’ sarà positiva quando cosx è negativo, e viceversa.
Ma perché pone cosx maggiore uguale a zero nella derivata prima e non minore uguale se il segno l’ha cambiato?