Scarica tutti i 101 studi in formato PDF e sostieni il progetto Matepratica con soli 3,99€: clicca qui per effettuare il pagamento, riceverai subito un link via mail dove poter scaricare uno Zip con tutti gli studi pubblicati sul sito in versione PDF. Per ulteriori info scrivi a info@matepratica.it
Scarica tutti i 101 studi in formato PDF e sostieni il progetto Matepratica con soli 3,99€: clicca qui per effettuare il pagamento, riceverai subito un link via mail dove poter scaricare uno Zip con tutti gli studi pubblicati sul sito in versione PDF. Per ulteriori info scrivi a info@matepratica.it



Scusa ma quando si studia il segno della funzione, non si dovrebbe mettere la funzione maggiore (e non maggiore e uguale) a zero, o sbaglio? Grazie in anticipo
come fa Rad^2di 1-e^x diventare -e^x/2*Ras^2di 1-e^x
c’è una qualche formula ? non capisco proprio i passaggi per arrivarci , al massimo posso fare derivata di (1-e^x)^1/2
Ciao Albert. Volevo chiederti se il passaggio, nel dominio, da e^x <=1 a x<=0 è dovuto al fatto che scrivere 1 è come scrivere e^0 per cui le e si semplificano e rimane solo x<=0. Grazie
Sarebbe : e^x loge^x x<=0 perchè il log di 1 fa zero. Credo sia così
Ciao Albert, è sbagliato calcolare anche il lim per x->0- ??
Questo commento è stato eliminato dall’autore.
qualcuno sa come fa e^x<1 a diventare x<0 ?? grazie
1 può essere scritto come e^0, quindi la disequazione diventa e^x < e^0 che sarà risolta con la disuguaglianza degli esponenti x < 0. La soluzione si può trovare anche guardando il grafico dell'esponenziale: i valori di y sono minori di 1 per valori negativi di x.
Ciao non capisco la derivata prima potresti cortesemente spiegare come sei arivato a quel risultato?
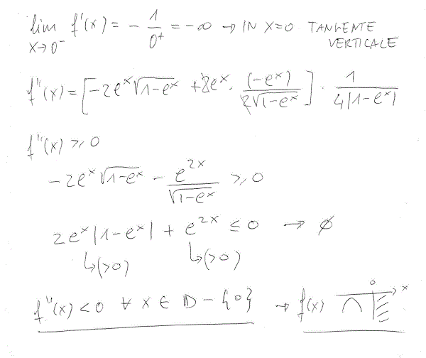
Ciao Albert, scusami, potresti mettere dei passaggi in più in merito alla derivata seconda ? Se la derivata di 2 è zero tutto il secondo membro non si elimina?
scusami Albert non capisco nel calcolo per trovare il dominio da e^x<=1 diventa x<=0 ???
Eh vorrei capirlo anche io per quale motivo il dominio viene x<=0
Ciao, non capisco la derivata seconda, in particolare il pezzo {…-f(x)*g'(x)}…, il +2e^x, da dove salta fuori quel 2?
Grazie
è la costante che sta davanti alla radice al denominatore, quindi è il primo pezzo della g'(x)
Ma il lim per x->inf della funzione non è infinito?So che e^inf è =inf
e^(+inf)=+inf, ma e^(-inf)=0
Ciao! potresti spiegarmi come mai nel calcolo del segno della derivata seconda compare il valore assoluto di 1-e^x al posto di rad 1-e^x? Grazie!
Ho fatto il comune denominatore, considerando poi solo il numeratore (visto che il denominatore rad(1-e^x) è sempre positivo nel dominio).
Compare il modulo perchè
rad(1-e^x)rad(1-e^x)=|1-e^x|
Ciao scusami ma l’intersezione con l’asse x in questo caso non si fa? Mi potresti spiegare perchè? :)
Se x=0 –> y=0 e viceversa, quindi l’abbiamo trovata ;)
scusa ma sbaglio o la derivata prima non è mai < di 0??
La derivata prima è SEMPRE minore di zero: perchè la frazione è sempre positiva, ma c’è un meno davanti che rende f'<0 per ogni x del dominio.
ciao scusa non capisco nella derivata seconda perchè moltiplica tutto per 1\4|1-e^x| (quest’ultimo è il quadrato della funzione però l’1 non riesco a capire come l’ ha ottenuto) grazie
Dividere tutto per 4|1-e^x| (il quadrato del denominatore di f'(x)) è come moltiplicare per 1/(4|1-e^x|).
Ricorda infatti che dividere per un valore è come moltiplicare per il suo reciproco:
a/b = a * 1/b
Ciao,
-inf fa parte del dominio, ma metto la tonda perchè non è un numero (è una convenzione)
f(1)=0, che è un numero come un altro, per cui 1 è compreso nel dominio.
Ciao albert! ma questa è un irrazionale o un esponenziale?? considerando l intervallo -oo;0 non capisco una cosa: se sostituisco -oo alla x ottengo e^-oo che da zero, dunque 1-0=1 quindi il -oo non dovrebbe essere compreso nel C.E? mentre e^0 mi da 1, dunque 1-1=0 con lo zero che dovrebbe essere escluso