Scarica tutti i 101 studi in formato PDF e sostieni il progetto Matepratica con soli 3,99€: clicca qui per effettuare il pagamento, riceverai subito un link via mail dove poter scaricare uno Zip con tutti gli studi pubblicati sul sito in versione PDF. Per ulteriori info scrivi a info@matepratica.it
Scarica tutti i 101 studi in formato PDF e sostieni il progetto Matepratica con soli 3,99€: clicca qui per effettuare il pagamento, riceverai subito un link via mail dove poter scaricare uno Zip con tutti gli studi pubblicati sul sito in versione PDF. Per ulteriori info scrivi a info@matepratica.it


Ciao come mai sei passato da -2x >= 0 a -> x<= 0 ? come mai hai levato la e^-x^2 poi?
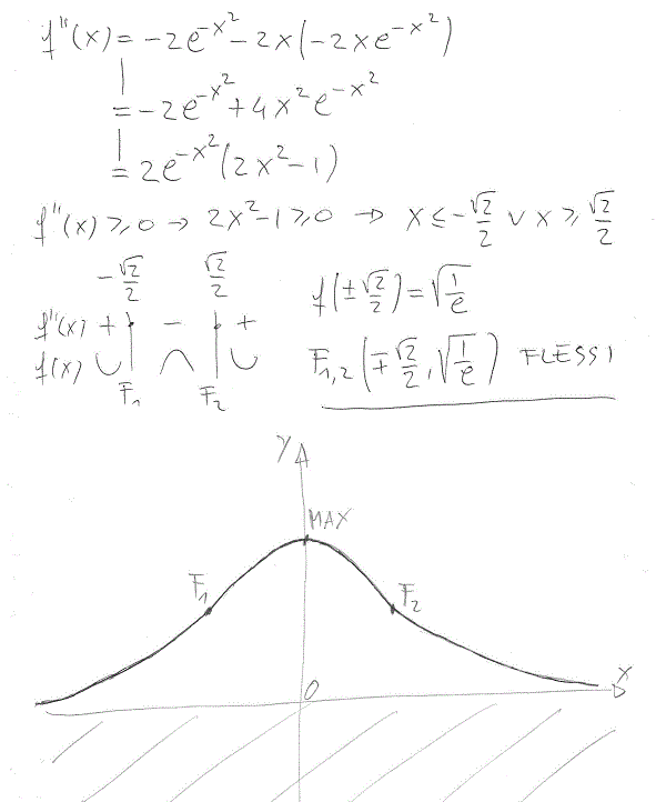
Perché la diseducazione della seconda derivata viene più o meno radice di due su due? A me viene più o meno un mezzo. E poi la seconda derivata a me risulta 2e^-x2 ( – 2x^2 – 1) perché invece a te viene con segni diverso il 2x^2?
ciao, magari vengono i calcoli sbagliati a me (e sarebbe grave, significa che dovrei studiarmi le equazioni di secondo grado, altro che gli studi di funzione!) ma nello studio del segno della derivata seconda..non dovrebbe essere +- rad (1/2)?
razionalizzando +- rad (1/2) = +- rad2 /2
Posso chiederti di svolgere lo studio di questa funzione?!
F(x)= arcsen(|x|/x+1)
Ciao Valerio, mi dispiace, ma non svolgo studi di funzione completi a richiesta.
e la derivata seconda?
allora ho la derivata prima f'(x)= e^(x^2+3x+2)*2x+3
Partendo da questa faccio la derivata del prodotto?
Mi viene una cosa strana tipo (2x+3)*e^(x^2+3x+2)+ 2e^(x^2+3x+2).
facendo la derivata del prodotto viene:
(2x+3)(2x+3)*e^(x^2+3x+2)+ 2e^(x^2+3x+2)=
(2x+3)^2 e^(x^2+3x+2) + 2e^(x^2+3x+2)=
((2x+3)^2 + 2) e^(x^2+3x+2)
che ha due fattori entrambi positivi, quindi è sempre positiva.
grazie mille, scusami per le tante domande ma mi hai chiarito molte cose
mi verrebbe e^(-1/4) questo cosa significa?
Significa che il punto del grafico cartesiano (-3/2;e^(-1/4)) è un punto di minimo per la f(x). Tieni conto che e^(-1/4) è circa 0,78 , lo puoi verificare con la calcolatrice.
Non ho capito la derivata come ti sei trovato o e 1. Ad esempio ho questa funzione simile e^(x^2+3x+2)
Ho fatto la derivazione f'(x)= e^(x^2+3x+2)(2x+3)
quindi 2x+3> 0
x> – 3/2
e questa dovrebbe essere il minimo, l’altra coordinata? la trovo sostituendo -3/2 alle x nella funzione originaria e^(x^2+3x+2)?
Bravissimo, proprio così! ;)