Scarica tutti i 101 studi in formato PDF e sostieni il progetto Matepratica con soli 3,99€: clicca qui per effettuare il pagamento, riceverai subito un link via mail dove poter scaricare uno Zip con tutti gli studi pubblicati sul sito in versione PDF. Per ulteriori info scrivi a info@matepratica.it
Scarica tutti i 101 studi in formato PDF e sostieni il progetto Matepratica con soli 3,99€: clicca qui per effettuare il pagamento, riceverai subito un link via mail dove poter scaricare uno Zip con tutti gli studi pubblicati sul sito in versione PDF. Per ulteriori info scrivi a info@matepratica.it



Ciao. Sto provando a studiare questa funzione solo per x>0 e poi farne la simmetrica essendo una funzione pari. Ma alcuni punti non mi sono chiari, per esempio non capisco come faccio a trovarmi il minimo se faccio come ti ho appena detto.
Potresti mettere tutti i passaggi della derivata seconda?? perchè così non si capisce.
Ciao Albert, potresti spiegarmi come hai calcolato l’intersezione con l’asse x e quindi con y=0?
ciao, scusa mi potresti spiegare come mai i limiti danno risultato 0? grazie
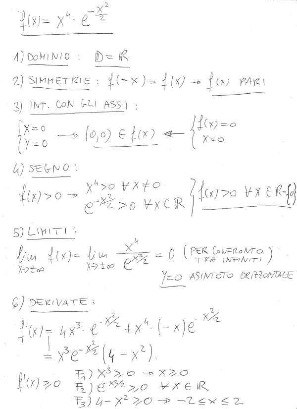
Perchè il numeratore x^4 tende a 0, mentre il denominatore e^0 tende a 1, quindi lim 0/1=0
scusatemi ma perchè x^4 tende a 0?
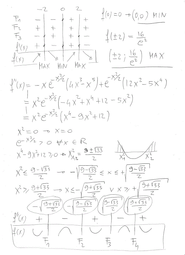
Mi può spiegare perchè nel calcolo del segno della derivata seconda compaiono come soluzioni anche -rad[(9+rad33)/2] e -rad[(9-rad33)/2]?
perche io dopo aver risolto la disequazione x^4 – 9x^2 + 12 con il calcolo del delta ottengo come soluzioni solo (9-rad33)/2 e (9+ rad33)/2
eh ma quelle non sono x, ma x^2… per trovare le x devi farne le radici quadrate.
buonasera volevo sapere perchè non aveva messo nel segno della derivata seconda x>0 e ha scritto solamente x = 0. grazie
Perchè il fattore x^2 è sempre positivo o nullo: ho sottolineato però che x=0 annulla anche la derivata seconda (oltre che la prima).
come non detto :)
pubblicheresti i passaggi per fare la derivata seconda? non riesco a farla. Grazie
Ciao Ascolta il prodotto sei segni della derivata seconda mi esce il contrario del tuo…come mai?
Eh non lo so, dovrei vedere i tuoi passaggi per dirti dove sbagli…
Ho scritto male l’esponente dell e ma non era quello il punto, il punto è -x/2 o -x :)
Grazie ancora.
L’esponente può essere scritto come -1/2 * x^2, la cui derivata vale -1/2 * 2x = -x
Ciao albert nella derivata prima, derivando e^(x/2)^2 non dovresti ottenere -x/2 (e^(x/2)^2) invece che -x(e^(x/2)^2) ??
Grazie mille.
f(0) = 0^4 * e^0 = 0*1 = 0
quindi per x=0 la funzione esiste e vale 0.
Non hai la x al denominatore, nè all’argomento di un logaritmo…perchè dovresti imporle di essere diversa da zero?!
ciao! nn riesco a capire perchè il dominio sia tutto R e non R privato dello 0.
complimenti per il sito!