Scarica tutti i 101 studi in formato PDF e sostieni il progetto Matepratica con soli 3,99€: clicca qui per effettuare il pagamento, riceverai subito un link via mail dove poter scaricare uno Zip con tutti gli studi pubblicati sul sito in versione PDF. Per ulteriori info scrivi a info@matepratica.it
Scarica tutti i 101 studi in formato PDF e sostieni il progetto Matepratica con soli 3,99€: clicca qui per effettuare il pagamento, riceverai subito un link via mail dove poter scaricare uno Zip con tutti gli studi pubblicati sul sito in versione PDF. Per ulteriori info scrivi a info@matepratica.it



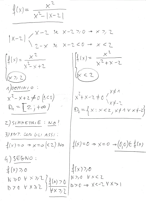
Scusi vorrei capire come faccio a capire che c’è un punto angoloso
Perché bisogna fare il limite per x che tende a +2 e -2 considerando le due funzioni per x>2 e x<2. Il primo limite è uguale a 1,il secondo limite è uguale a -1/4. I due limiti esistono,sono finiti ma sono diversi. Pertanto 2 è un punto angoloso. Inoltre, sostituendo 2alla funzione originale con valore assoluto, il risultato è 1. Pertanto il punto (1,2) è il punto angoloso.
Come è stato fatto lo studio del segno?
me lo chiedo anche io
Come faccio a dimostrare che il punto P (2,1) è punto angoloso?
albert scusa ma come si fa a fondere i due grafici della derivata prima ??? ..inserendo il 2
Questo commento è stato eliminato dall’autore.
Ciao Albert…mi spieghi come fa ad essere asintoto x=1? dai calcoli ke ho fatto viene 1/2…grazie!!
Ciao non riesco a capire come fa a venirti quel dominio quando x alla2 -x +2?? Potresti spiegarmelo gentilmente.. Perchè a me viene 1 +/- radice di 1 – 8/2.. quindi con delta negativo
scusa come risolvi la forma di indecisione del limite di f(x) tendente a più infinito?
Scusi non capisco perchè nello studio della derivata prima considera solo il sistema di equazioni corrispondente all’intervallo x<2. Se andassi a mischiare entrambi i sistemi i segni non corrisponderebbero. Da qui la mia domanda: Perchè considera nello studio della crescenza o decrescenza solo il sistema di destra (x<2)?. Ho letto la risposta alla domanda numero 16, ma non capisco come sia possibile che abbia considerato entrambi gli intervalli.
mi scusi, pa perchè nel dominio non si può fare x(x+1)!=2 , quindi x!=2 V x!=1
Ciao Albert,
non capisco perche’ ti ritrovi a svolgere un solo sistema per la derivata prima.Cioe’ nell’intervallo x<2. Perche’ se vado a mettere a sistema x>=2 e x<0 U x>4…I segni vengono l’opposto di quello che hai scritto tu.Invece per l’altro sistema vengono.Perche’ va considerato solo 1 intervallo?
Considero entrambi gli intervalli, nello schema finale: nel primo sistema il risultato è 24) avrò segno –
Nello studio del segno -2 e 1 l’ha calcolato per per valori esterni o ha fatto separatamente x<-2 e x>1? perchè facendo per valori esterni a me non risulta
non si tratta di differenziare tra valori esterni e interni, ma tra x>=2 o x<2
non capisco perche nel segno della prima il denominatore e per ogni x > 2 … il delta e minore di 0 .. quindi non dovrebbe essere mai ?
si, stiamo dicendo la stessa cosa, specifico x>2 perchè sto lavorando in quell’intervallo…
la derivata seconda non l’hai fatta?
e un’altra cosa, nella seconda il denominatore non dovrebbe essere x^2 +x+2?
Per la derivata seconda vedi il commento 5.a.
No è giusto così: il meno fuori dal modulo si trasforma in +
Ciao Albert,
volevo chiederti perchè nella derivata prima di x<2 consideri anche x>=4, visto che non è presente nel dominio, e non dovrebbe risultarti x>=0???
grazie
non considero x>=4…e poi no, viene x<=0 (verrebbero valori esterni tra zero e 4)
MI PUO’ spiegare gentilmente perche’ nella Dominio x>2 il d e’ 2 +infinito?HO CALCOLATO DELTA e’ viene D<0 quindi OGNI X? MI SPEIGA IN MODO PIU’ DETTAGLIATO PERCHE’ VIENE 2+INFITNO.
GRAZIE
Perchè sei nel primo caso, quindi in regime x>2
gentilmente potreste mettere la risoluzione in dettaglio degli asintoti verticali??Grazie
è molto semplice: in tutti i casi il numeratore tende ad un numero, mentre il denominatore va a zero, quindi k/0=inf
Scusami potresti spiegarmi perché nel grafico i limiti che tendono a 1 e -2 sono diversi a destra e sinistra, mentre nello svolgimento vengono tutti e quattro + infinito?? Grazie.
No io ho scritto infinito senza segno, poi il segno lo deduco dal segno della funzione che ho già studiato al punto precedente
perchè alle intersezioni con gli assi operi in quel modo???
pongo f(x)=0 e trovo le intersezioni con l’asse y…
Questo commento è stato eliminato dall’autore.
Davvero tutto molto utile! Grazie :)
Grazie a te per il commento, buono studio!
Ciao Albert,
come hai fatto a determinare le y dei massimi e dei minimi? dove hai sostituito’?
Basta sostituire la x del punto di max o min nella funzione iniziale…e trovi la y.
perchè non si studia la derivata seconda?
è stata omessa. Andrebbe studiata… dovresti trovare quattro cambi di concavità: x=-2, x=1, x=2 e x=6(circa) -quest’ultimo è l’unico flesso-
buongiorno, mi scusi ma quella x<= 2 nella derivata prima da dove viene fuori? e ancora perchè non si studia il denominatore?
A cosa ti riferisci? Non vedo x<=2 nella derivata prima…
Non si studia il denominatore perchè è un quadrato, quindi sempre positivo nel dominio.
Perchè nella prima funzione e di conseguenza nel dominio, viene preso x>=2 e non semplicemente x>2?
Perchè, quando dividi in due la funzione per via del modulo, da qualche parte (o col maggiore, o col minore) x=2 devi prenderlo…
Grazie :)
scusi ma il primo dominio dove c’è il delta negativo non sarebbe sempre verificato quindi (-inf;+inf)?
Si però devi anche tenere conto che nel primo dominio stiamo considerando l’intervallo x>=2
perchè il punto (2,1) è un punto angoloso???
Perchè per x=2 il valore della derivata destra è diverso dal valore della derivata sinistra. Effettivamente non l’avevo specificato nello svolgimento…
il lim delle derivate =1/4
x->2+(2-)
in tutte e due casi il valore del limiti per x->2+(2-) è uguale… quindi perchè è un punto angoloso?
salve,scusi non capisco perchè prende x<0 nella derivata prima per x<2
x(x-4) >= 0
quando x<=0 V x>=4
Quest’ultimo intervallo, messo a sistema con x<2, da come risultato x<=0.