Scarica tutti i 101 studi in formato PDF e sostieni il progetto Matepratica con soli 3,99€: clicca qui per effettuare il pagamento, riceverai subito un link via mail dove poter scaricare uno Zip con tutti gli studi pubblicati sul sito in versione PDF. Per ulteriori info scrivi a info@matepratica.it
Scarica tutti i 101 studi in formato PDF e sostieni il progetto Matepratica con soli 3,99€: clicca qui per effettuare il pagamento, riceverai subito un link via mail dove poter scaricare uno Zip con tutti gli studi pubblicati sul sito in versione PDF. Per ulteriori info scrivi a info@matepratica.it



é un po’ come a radice quadrata di 4. Per definizione vale solo 2 (non -2) anche se sia 2 che -2 alla seconda fanno 4. Si sceglie solo un valore (è una convenzione), e così arctg(0) = 0 (solo zero e non pigreco, né 2 pigreco, né -pigreco eccetera eccetera…).
Ciao albert,
l’arcotang di 0 non vale sia zero che pi greco? Mi riferisco al passaggio nell’intersezione con gli assi
eh no, vale solo zero, guardati il grafico dell’arctgx…
Salve,
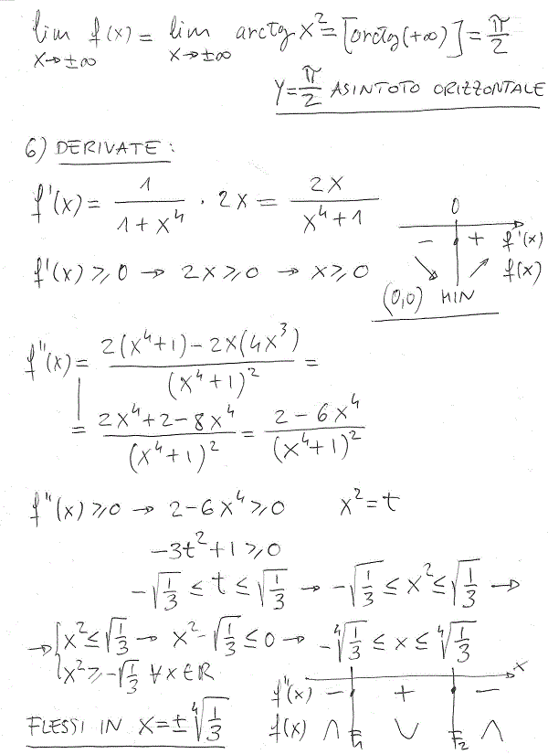
non capisco il passaggio dalla derivata seconda espressa in t (-3t^2 +1), a -sqrt(1/3) <= t <= sqrt(1/3)
Io a questo punto cercherei le soluzioni dell’equazione di secondo grado che se non sbaglio sono (±sqrt(12)/-6) e la risoluzione della disequazione la farei coincidere con l’intervallo tra questi due estremi compresi, vista la concavitá della parabola…
come arriva a ±sqrt(1/3) ??
grazie
Ciao Giulio,
io ci arrivo così:
-3t^2+1=0
-3t^2=-1 –> 3t^2=1
t^2=1/3 –> t=±sqrt(1/3)
Anche il tuo procedimento è giusto, infatti:
±sqrt(12)/-6=±sqrt(4*3)/6=
=±2sqrt(3)/6=±sqrt(3)/3=±sqrt(1/3)
grazie mille, questa spiegazione mi è stata utilissima.
complimenti per il sito