Scarica tutti i 101 studi in formato PDF e sostieni il progetto Matepratica con soli 3,99€: clicca qui per effettuare il pagamento, riceverai subito un link via mail dove poter scaricare uno Zip con tutti gli studi pubblicati sul sito in versione PDF. Per ulteriori info scrivi a info@matepratica.it
Scarica tutti i 101 studi in formato PDF e sostieni il progetto Matepratica con soli 3,99€: clicca qui per effettuare il pagamento, riceverai subito un link via mail dove poter scaricare uno Zip con tutti gli studi pubblicati sul sito in versione PDF. Per ulteriori info scrivi a info@matepratica.it



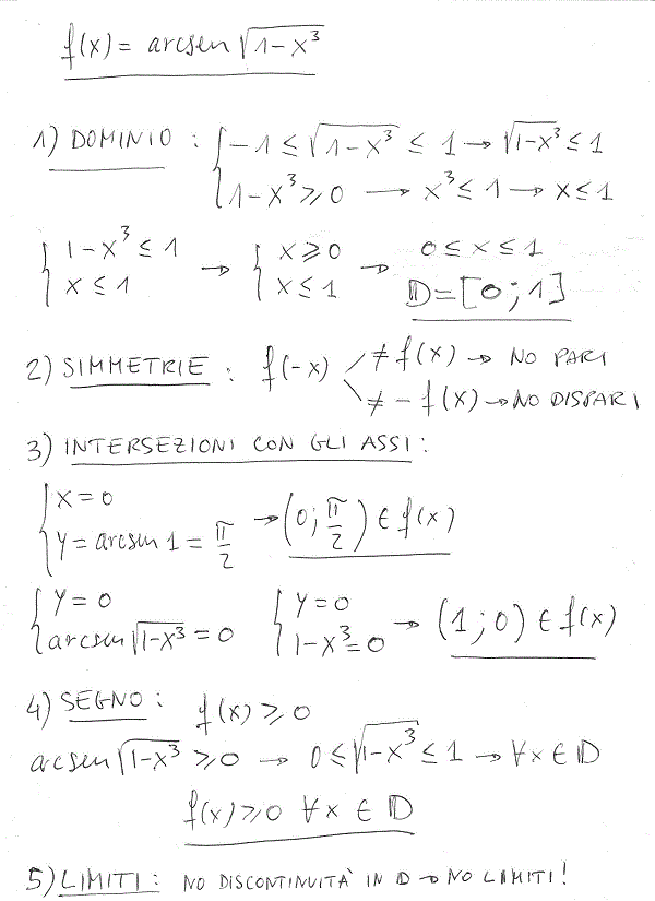
Perchè nel calcolare il dominio poni la radice tra -1 e 1?
Ciao, scusa perchè nel calcolo del dominio prima consideri: -1<f(x)<1 e poi consideri solo f(x)<1?
Complimenti per la pagina :)
Perchè il risultato di una radice quadrata, quando esiste (e questo lo stabilisco con la seconda equazione del sistema), è sempre positiva e quindi anche >-1
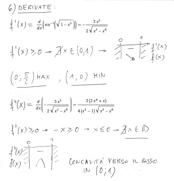
Il numeratore è -3x^2
La derivata del numeratore è -6x
Il denominatore è 2(x^3-x^6)^(1/2)
La derivata del denominatore è
2(1/2)(x^3-x^6)^(-1/2) *(3x^2-6x^5)=
(3x^2-6x^5)(x^3-x^6)^(-1/2)
Quindi:
f”=(-6x*2(x^3-x^6)^(1/2)-(-3x^2)(3x^2-6x^5)(x^3-x^6)^(-1/2))/(4(x^3-x^6))
f”=(-6x*2(x^3-x^6)^(1/2)-(-3x^2)(3x^2-6x^5)/(x^3-x^6)^(1/2))*1/(4(x^3-x^6))
a questo punto fai il comune denominatore nella prima parentesi (x^3-x^6)^(1/2) e sono solo conti.
potresti svolgere la derivata seconda passaggio per passaggio ? non riesco a capire il tuo risultato.grazie
Hai ragione, ho modificato. Grazie della segnalazione!
hai derivato arcsen di radice di
(1-x^2) e non di (1-x^3)
Ciao Xander,
A me non risulta, puoi precisare meglio la tua segnalazione?
Grazie!
hai commesso un errore nella derivata prima..