Scarica tutti i 101 studi in formato PDF e sostieni il progetto Matepratica con soli 3,99€: clicca qui per effettuare il pagamento, riceverai subito un link via mail dove poter scaricare uno Zip con tutti gli studi pubblicati sul sito in versione PDF. Per ulteriori info scrivi a info@matepratica.it
Scarica tutti i 101 studi in formato PDF e sostieni il progetto Matepratica con soli 3,99€: clicca qui per effettuare il pagamento, riceverai subito un link via mail dove poter scaricare uno Zip con tutti gli studi pubblicati sul sito in versione PDF. Per ulteriori info scrivi a info@matepratica.it



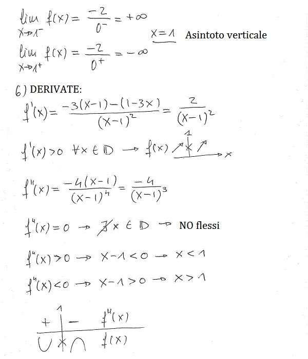
Come mai in questo caso non cerchiamo l’asintoto obliquo?
Perchè è presente l’asintoto orizzontale. Se non ci fosse stato allora si poteva fare. Ti devi immaginare graficamente come è la funzione. Nel punto dove è presente l’asintoto non può essere attraversato dalla funzione o perchè è escluso dal dominio oppure perchè lo trovi facendo i limiti.
c’è un errore di segni nello studio dei segni…
si, hai ragione, c’è uno sbaglio, ho detto parolaccie…
Ciao Albert,
scusa ma potresti chiarirmi sulla D”? io scrivo:(x-1)^2-2(2(x-1)) fratto (x-1)^4 e risolvendo i calcoli mi viene (x-5)/(x-1)^3.
Tu praticamente semplifichi l'(x-1)^2 con l'(x-1) ma sono elementi di una sottrazione, come si può fare??
Grazie
ciao, mi spieghi la differenza degli infiniti nel passa 5 quando calcoli il limite, che differenza c’è tra calcolare con 0+ e 0-!? e poi quel x=1 che non capisco proprio…Grazie mille
perché se c’è l’asintoto orizzontale non può esserci quello obliquo
Lo 0- è lo zero che trovi verso sinistra del grafico, tende a un numero più piccolo di zero e, quindi, tocca anche la parte negativa. Lo 0+ è tutto l’opposto, cioè tende a una cifra più grande di zero, e, quindi è sicuramente un numero positivo.
Ciao albert ma la derivata prima non si dovrebbe svolgere con la proprietà del quoziente? Io mi trovo 2x+2/(x-1) al quadrato
Ciao Albert io non ho ben capito lo studio del segno della derivata prima, o meglio non capisco perchè hai preso il punto 1 per far vedere la crescenza e decrescenza. Grazie
buonasera albert, potrebbe spiegarmi il dettaglio del meno o del piu al numeratore quando si esegue il calcolo della f ”(x)>0?
Ma nello studio del segno della derivata seconda, non dovrebbe essere
f”(x) > 0 -> x > 1
f”(x) < 0 -> x < 1
No, attenzione che hai MENO 4 al numeratore…
perchè non si fa la ricerca dell’asintoto obliquo?
perchè hai già un asintoto orizzontale sia destro che sinistro…
Buongiorno, vorrei sapere come fa a determinare il segno di questo cubo del binomio (denominatore della seconda derivata) senza svolgerlo. c’è una regola generale? grazie.
ciao albert una domanda: perchè poni il denominatore della derivata seconda maggiore e minore di 0? non è solo maggiore… quindi non dovrebbe venire x maggiore di 1??
Grazie
Non è che lo “pongo”. Semplicemente affermo che è positivo per x<1, negativo per x>1.
non capisco perché nella derivata seconda ci sia il -4,da che cosa è dovuto?
grazie in anticipo
quando moltiplichi il numeratore per la derivata del denominatore ti viene 2*2(x-1)=4(x-1)
Una cosa non mi è chiara come facciamo a capire se il segno della funziona sia maggiore o minore rispetto all’asse x o y o rispetti agli asintoti?come in questo caso
quando hai fatto tutto lo studio di funzione sai quando la funzione sta sopra o sotto l’asse x, sai quando cresce e quando scende, conosci i limiti etc, di conseguenza hai un solo modo per disegnarla…
Ma nello studio delle simmetrie è giusto quel -1?
No, hai ragione: il -1 al numeratore dovrebbe essere +1. Questo non cambia l’esito della ricerca di simmetrie.
ciao albert,
non capisco solo una cosa, da cosa capiamo in quali quadranti disegnare la funzione?
ogni punto dello studio di funzione ti da qualche informazione: con tutte le informazioni il grafico (e la sua posizione nei quadranti) viene in automatico
Salve Albert ,
Mi può spiegare il passaggio fatta alla derivata prima quando l’hai posta maggiore di 0 ? Perchè esce per ogni X appartenente al dominio ?
Perchè, nel dominio, numeratore e denominatore (di conseguenza tutta f’) sono sempre positivi
Ti ringrazio !
No è giusto così:
f”=(N’D-ND’)/D^2
f”=(0(x-1)^2 -2*2(x-1))/(x-1)^4
f”= -4(x-1)/(x-1)^4
f”= -4/(x-1)^3
Ma nella derivata seconda, non dovrebbe essere -2 anzichè -4?
Derivata di (x-2)^2= 2(x-1)
Perché quando andiamo a studiare il segno della seconda derivata si fa a mettere maggiore e minore di 1 piuttosto 4?