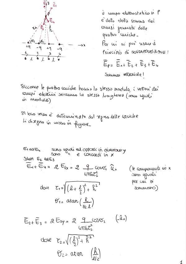
Quattro cariche puntiformi hanno uguale carica in modulo pari a q. Esse sono disposte su un asse orizzontale in questo ordine: positiva, negativa, positiva, negativa e sono equispaziate con una distanza l l’una dall’altra. Quanto vale il campo elettrostatico in un punto P appartenente all’asse di simmetria delle cariche, posto ad una quota h rispetto all’asse orizzontale?


Ciao, perché gli angoli li prendiamo diversi ?
ciao mi potreste spiegare perché quando è stato calcolato il raggio con pitagora è stato scritto (l +l/2 ) e non solo l/2 ??
se guardi il triangolo più grande(cariche 1e4) ha la semibase di appunto l+l/2, solo l/2 va per il triangolo più piccolo (cariche 2e3).
(l+l/2) e’ la base del triangolo rettangolo (uno dei cateti) che prendo in considerazione per applicare pitagora.