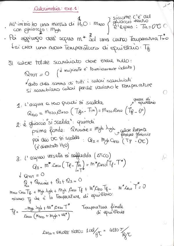
In una bacinella termicamente isolata e indeformabile si trova una miscela di acqua (massa m_(H2O) e ghiaccio m_(gh)). Ad un certo punto viene aggiunta dell’acqua (m*) che si trova alla temperatura T*. Quale sarà il valore della temperatura finale di equilibrio (Tf) della nuova miscela che si viene a formare? (Considerare il calore latente di fusione del ghiaccio come un valore noto: λ_(gh)=80 cal/g)

qual è il risultato?