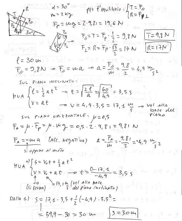
Un corpo è tenuto fermo da una fune sopra un piano inclinato di un angolo di 30° rispetto al piano orizzontale. a) Supposto che la massa del corpo sia 2 Kg, determinare la tensione della fune in assenza di attrito tra il corpo ed il piano e la reazione vincolare. b) Tagliata la corda il corpo scende in assenza di attrito lungo il piano inclinato lungo 30m e successivamente striscia con un coefficiente di attrito di 0.5 su un piano orizzontale. Calcolare lo spazio percorso sul piano orizzontale prima di fermarsi.

Ciao volevo chiederti una cosa. Questo esercizio può essere svolto anche con l’energia meccanica? Nel senso assumendo che la forza di attrito sia non conservativa e facendo i dovuti calcoli, si arriva sempre alla stessa soluzione? Perché qui non si parla mai di tempo e presumo che si possa usare. O sbaglio? Grazie per l’attenzione :)
rispondo dopo un anno dalla tua domanda solo perché così qualcuno in futuro la potrà vedere: sì, basta porre il lavoro compiuto dalla forza di attrito (uk*m*g*s) uguale all’energia potenziale (m*g*h) dove h è 30*sen(30). risolvendo rimane s=30*sen(30)/uk
ciao albert, senti mi potresti spiegare perchè nel primo passaggio, dopo che hai imposto che F(parallelo)=T fai 19,6 . 1/2 ?? quel 1/2 da dove esce??
Considerando l’angolo di 30°: ipotenusa per 1/2 = cateto opposto