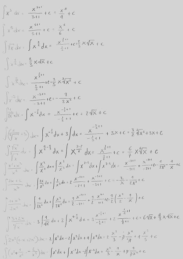
perchè la radice x può essere vista come x alla 1/2, questo termine è situato al denominatore,perciò se lo vuoi portare su devi invertire il segno dell’esponente che diventa -1/2,seconda la regola degli integrali poi dovresti fare -1/2 +1 che è uguale ad 1-1/2
Scusa nel penultimo esercizio dentro la parentesi c’è scritto ( 1-x+2x^2 ) ? Perché non riesco a capire se l’esponente sia un 2 o un 3.
perchè x del numeratore si semplifica con x^3 del denominatore, ottenendo 2/x^2 che si può anche scrivere come 2x^-2 . segue l’esercizio
Ciao, non riesco a capire come deve essere risolto il penultimo integrale 2x^2(1-x+2x^3), in particolare il primo passaggio. Potete spiegarmelo per favore? :)
Ciaoo scusami potresti spiegarmi perchè nel terzultimo esercizio la seconda x è elevata ad 1 – 1/2?
perchè la radice x può essere vista come x alla 1/2, questo termine è situato al denominatore,perciò se lo vuoi portare su devi invertire il segno dell’esponente che diventa -1/2,seconda la regola degli integrali poi dovresti fare -1/2 +1 che è uguale ad 1-1/2
Scusa nel penultimo esercizio dentro la parentesi c’è scritto ( 1-x+2x^2 ) ? Perché non riesco a capire se l’esponente sia un 2 o un 3.
E’ un 2 :)
nel procedimento dell’undicesimo esercizio perchè viene x*-2+1 e non x*1-3?
perchè x del numeratore si semplifica con x^3 del denominatore, ottenendo 2/x^2 che si può anche scrivere come 2x^-2 . segue l’esercizio
Ciao, non riesco a capire come deve essere risolto il penultimo integrale 2x^2(1-x+2x^3), in particolare il primo passaggio. Potete spiegarmelo per favore? :)
Moltiplichi tutto quello che e’ dentro parentesi con 2x^2
nel procedimento dell’undicesimo esercizio perchè viene x*-2+1 e non x*1-3?
x elevato alla terza al denominatore si semplifica con la x del numeratore
Nel terzo esercizio ti sei dimenticato di elevare la x sotto radice: x^3.
Questo commento è stato eliminato dall’autore.
Ciaoo :) senti non riesco a capire perché nel tredicesimo esercizio il risultato é 4/3 x radquadr x. Io mi trovo 4/3 rad quadr x^3
perché si fa’ 2* 2/3 quindi 2*2 fa 4 e il denominatore rimane uguale quindi 4/3
Grazie per queste pubblicazioni, mi sono state molto d’aiuto
Questo commento è stato eliminato dall’autore.
ciao ottimo sito e ottimi esercizi. volevo chiederti qualche delucidazione su questo semplice integrale : sinx^3/cosx^5 dx.
grazie 1000.
Grazie. Scrivilo come int (tanx)^3 * 1/(cosx)^2 dx
visto che 1/(cosx)^2 è la derivata della tanx ti basta integrare la potenza e viene 1/4 (tanx)^4 +C
Ciao non riesco a capire il quinto esercizio. Potresti spiegarmelo?
ciao Albert,
il risultato del decimo esercizio, perché si aggiunge la x al denominatore??
metto la x al denominatore e cambio segno (da meno a più) al suo esponente
Il penultimo integrale non l’ho capito.. che procedimento hai usato?
Prima moltiplico 2x^2 per la parentesi e ottengo:
int (2x^2 -2x^3 +4x^4) dx
e poi separo l’integrale nelle tre parti
nel foglio si legge int (2x^2 -2x^3 +4x^5) dx
in quanto nella parentesi sembra 2x^2 * 2x^3
scusa, puoi spiegarmi xké da radsesta(x^7) è diventato x*radsesta(x)? puoi spiegarmi il ragionamento?
radsesta(x^7) =
radsesta(x*x^6) = (porto fuori l’x^6)
x radsesta(x)
scusa nel quinto esercizio, come fa a diventare. da 3/5*x^5/3 a 3/5*x*rad cubica di x^2??
3/5 x^(5/3) =
3/5 radcub(x^5) =
3/5 radcub(x^3 x^2) =
3/5 x radcub(x^2)
Nel terzo esercizio come passi da 2/3 x^3/2 a 2/3 x rad di x?
x^(3/2) = rad(x^3) = rad(x^2*x) = x radx
perchè moltiplichi per l’inverso 2x alla meno 2 è come scrivere 1/x^2 moltiplichi 1/2 e 1/x^2 è ottieni il risultato
ah avevi già risposto tu ;)
scusa ma nel sesto integrale mi potresti spiegare da x^-2/-2 come diventa???? grazie
x^(-2) / (-2) =
= (1/x^2) * (-1/2) =
= -1/(2x^2)