Scarica tutti i 101 studi in formato PDF e sostieni il progetto Matepratica con soli 3,99€: clicca qui per effettuare il pagamento, riceverai subito un link via mail dove poter scaricare uno Zip con tutti gli studi pubblicati sul sito in versione PDF. Per ulteriori info scrivi a info@matepratica.it
Scarica tutti i 101 studi in formato PDF e sostieni il progetto Matepratica con soli 3,99€: clicca qui per effettuare il pagamento, riceverai subito un link via mail dove poter scaricare uno Zip con tutti gli studi pubblicati sul sito in versione PDF. Per ulteriori info scrivi a info@matepratica.it



Ciao, innanzitutto ci tendo a ringraziarti immensamente per questi esercizi svolti molto utili:)
Seconda cosa, mi chiedevo come mai nella parte dello studio del segno, nel sistema si vede f(x) < di zero, ma nel risultato c'è scritto il < con l'uguale e nella parte sotto viceversa?
nell’intersezione degli assi perchè il primo punto è -9? Ho sostituito le x con lo zero e non mi esce -9.
Ciao, potresti spiegarmi che studio della derivata prima hai fatto? cioè la derivata prima non l’hai fatta a -6x^2+14x?
ciao volevo sapere xk il dominio di questa funzione è R.n dovrebbe essere r escluso più 3 ed escluso meno 1?
Questo commento è stato eliminato dall’autore.
Ciao. per quanto riguarda sia il segno della funzione che il segno della derivata prima e seconda io ho svolto normalmente ponendo >0. I risultati sono identici ma sono invertiti i punti di minimo e di massimo, la concavità e la funzione crescente o decrescente. Come mai tu hai posto la funzione in maniera diversa dal solito?
Come mai nello studio del segno hai messo maggiore uguale e non solo maggiore? così facendo, i punti in cui la x è uguale ad una delle tre radici non fanno si che il polinomio si annulli?
Si: praticamente ho ritrovato le intersezioni con l’asse x del punto 2
Salve Albert!! Grazie mille per tutte le volte che mi ha salvato ! Volevo chiederle come mai non era rappresentato il punto di flesso…
Nessun motivo in particolare, lo lascio a voi per esercizio :)
Grazie del commento!
avrei due domande:
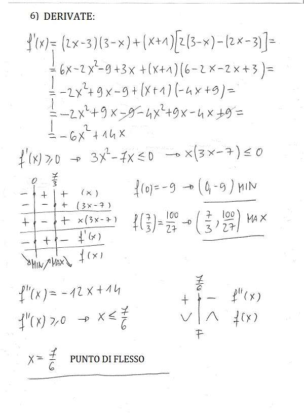
1-nel grafico in cui si studia il segno della derivata prima, la riga che indica i segni di f'(x) da dove provengono?
2- con che criterio dico che (0,-9) è il minimo e (7/3;100/27) è il minimo?
1) Provengono da segni dei due fattori: x (positivo per x>0) e 3x-7 (positivo per x>7/3), ovvero dalle prime due righe. Nel primo intervallo ottengo -*-=+, nel secondo +*-=-, nel terzo +*+=+.
2) – Per x=0 la derivata si annulla, prima di x=0 f'(x)<0 ovvero f(x) è decrescente, dopo x=0 f'(x)>0 ovvero f(x) è crescente –> x=0 minimo.
– Per x=7/3 la derivata si annulla, prima di x=7/3 f'(x)>0 ovvero f(x) è crescente, dopo x=7/3 f'(x)<0 ovvero f(x) è decrescente –> x=7/3 massimo.
Ciao Anonimo,
ricordarti che il segno di un prodotto x*(3x-7) è determinato dal segno dei due fattori… ricordati cioè che stai svolgendo una disequazione di secondo grado, non una equazione…
Pardon…della derivata prima!!!
Non riesco a capire lo studio del segno della derivata seconda…non dovrebbe essere x<0 e x<7/3??? Dove sbaglio???
Ciao Anonimo,
hai ragione, ho modificato, grazie della segnalazione!
scusa, ma nello studio del segno di questo esercizio…nn c’è un errore?!? quando si deve calcolare 3-x>0