ciao molto utili ,davvero bravo ^^ io ho un problema su come risolvere questa disequazione per trovare la x in funzione di K : log di base 1/3 di (3-x) < K
Davvero ottimi esempi, bel lavoro! Ho una domanda da farti: per arrivare ad un risultato è possibile imporre logaritmi con una qualsiasi base. Adesso questo comporta risultati differenti a seconda della base utilizzata. Quindi, se non ho capito male qualcosa, esistono vari risultati equivalenti e tutti accettabili? Lo chiedo perchè, da studente di liceo, domani mattina mi aspetta un compito proprio su questo argomento e non capisco quale possa essere il metodo di correzione se, appunto, esistono risultati differenti. Grazie in anticipo per la tua risposta.
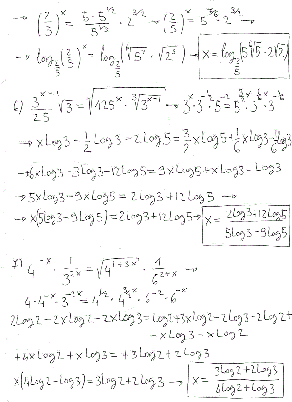
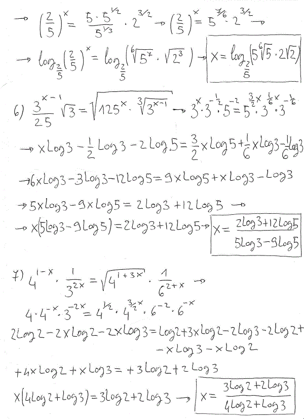
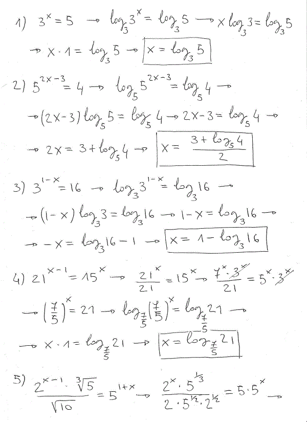
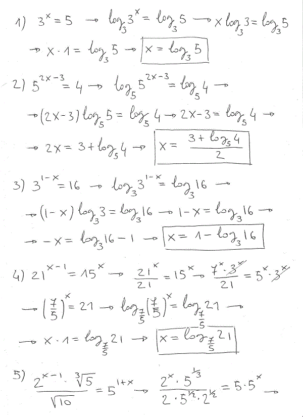
ciao, complimenti per il sito e gli esercizi… ma forse c’è un piccolo errorino nell’esercizio 4 (solo questo ho fatto per il momento). il 15^x l’hai scomposto in 5^x per 3^x… ma risolvendo questa moltiplicazione non verrebbe 15^2x???? (stesso discorso vale a mio aviiso per la scomposizione di 21^x)
Ciao ragazzi, è giusto come pubblicato, infatti, base diversa ma stesso esponente: 3^x * 5^x = (3*5)^x = 15^x.
@ Francesco: il risultato può essere che ti venga diverso se esprimi il log con un’altra base
Questo commento è stato eliminato dall’autore.
@ Albert, si infatti il mio commento non aveva molto senso: ho tenuto il log in base 21 di 15 senza scomporre nulla, di conseguenza mi è uscito fuori un altro risultato.
Ciao, nel caso di: 4x – 2^x+1 – 8 = 0 come bisogna procedere?
Mi dispiace, ma da quello che hai scritto non si capisce qual’è il testo dell’esercizio…
Ciao, ma non riesco a capire nell’ esercizio 7 come hai fatto a trasformare 4 in Log4(2Log2).. qual’è la base??10? Grazie anticipatamente per la risposta!
Le funzioni esponenziali hanno dominio R, e in questo caso anche le funzioni all’esponente (x-2 e x) hanno dominio R: quindi la funzione ha dominio R ;)
ciao Albert ma in una funzione esponenziale del tipo y=4(x-2come esponente) – 3elevato a x, il tutto sotto radice quadrata come si risolverebbe? Grazie in anticipo :D
Ciao, scusa ma non capisco qual’è la domanda (studiare la funzione? semplificarla?) e qual’è il testo, anche perchè lì le x si semplificano (dovresti usare tutte le parentesi del caso e il simbolo ^ per indicare l’elevazione.
Potreste risolvermi questa equazione esponenziale, con tutti i procedimenti, mediante i logaritmi? 5^(x+1)-5^(x)=3^(x)
La soluzione è: ln4/ln3/5
Grazie mille!
mi potrestespiegare la sei dal terzo in passaggio in poi??
ciao molto utili ,davvero bravo ^^ io ho un problema su come risolvere questa disequazione per trovare la x in funzione di K :
log di base 1/3 di (3-x) < K
Davvero ottimi esempi, bel lavoro!
Ho una domanda da farti: per arrivare ad un risultato è possibile imporre logaritmi con una qualsiasi base. Adesso questo comporta risultati differenti a seconda della base utilizzata. Quindi, se non ho capito male qualcosa, esistono vari risultati equivalenti e tutti accettabili? Lo chiedo perchè, da studente di liceo, domani mattina mi aspetta un compito proprio su questo argomento e non capisco quale possa essere il metodo di correzione se, appunto, esistono risultati differenti.
Grazie in anticipo per la tua risposta.
ciao, complimenti per il sito e gli esercizi… ma forse c’è un piccolo errorino nell’esercizio 4 (solo questo ho fatto per il momento). il 15^x l’hai scomposto in 5^x per 3^x… ma risolvendo questa moltiplicazione non verrebbe 15^2x???? (stesso discorso vale a mio aviiso per la scomposizione di 21^x)
Questo commento è stato eliminato dall’autore.
aspettiamo il sig. Albert x conferma
Ciao ragazzi, è giusto come pubblicato, infatti, base diversa ma stesso esponente: 3^x * 5^x = (3*5)^x = 15^x.
@ Francesco: il risultato può essere che ti venga diverso se esprimi il log con un’altra base
Questo commento è stato eliminato dall’autore.
@ Albert, si infatti il mio commento non aveva molto senso: ho tenuto il log in base 21 di 15 senza scomporre nulla, di conseguenza mi è uscito fuori un altro risultato.
Ciao, nel caso di: 4x – 2^x+1 – 8 = 0 come bisogna procedere?
grazie!
Per via grafica, perchè la x sta sia all’esponente, sia alla base (4x)
Ciao Albert, complimenti! Una domanda: perchè nell’esercizio 7 procedi lasciando 3^-2x mentre 6^-2x lo scomponi in 6^-2 * 6^-x ?
Perchè non è 6^(-2x) ma 6^(-(2+x))
SCUSATE COME POSSO RISOLVERE 3LOGIN BASE 5 ELAVATO AD A + 2LOG IN BASE 5 DI B GRAZIE AIUTATEMI PER FAVORE
Mi dispiace, ma da quello che hai scritto non si capisce qual’è il testo dell’esercizio…
Ciao, ma non riesco a capire nell’ esercizio 7 come hai fatto a trasformare 4 in Log4(2Log2).. qual’è la base??10?
Grazie anticipatamente per la risposta!
Si, tutto in base 10. Potevi scegliere anche un’ altra base se volevi…
ah devo determinare il dominio solamente!
Le funzioni esponenziali hanno dominio R, e in questo caso anche le funzioni all’esponente (x-2 e x) hanno dominio R: quindi la funzione ha dominio R ;)
ciao Albert ma in una funzione esponenziale del tipo
y=4(x-2come esponente) – 3elevato a x, il tutto sotto radice quadrata come si risolverebbe? Grazie in anticipo :D
Ciao, scusa ma non capisco qual’è la domanda (studiare la funzione? semplificarla?) e qual’è il testo, anche perchè lì le x si semplificano (dovresti usare tutte le parentesi del caso e il simbolo ^ per indicare l’elevazione.
come posso risolvere questa funzione F(x)= log (2x/3x)elevato al quadrato meno uno
Grazie del commento ;)
veramente molto utile =)