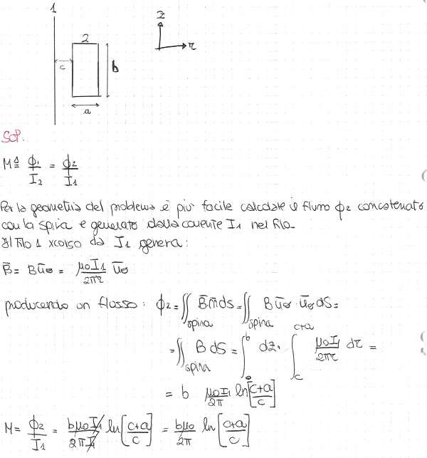
Un filo infinito e una spira sono disposte come in figura. Determinare il loro coefficiente di mutua induzione.
2 thoughts on “Induzione – Esercizio 4”
Gentilissimi signore,
Prima di tutto grazie mille per gli esercizi e lezioni.
io non riesco a capire il calcolo del flusso e mi sembra che c’è una “c” sparita. per favore qualcuno mi puo dare una mano?
Vi ringrazio
Gentilissimi signore,
Prima di tutto grazie mille per gli esercizi e lezioni.
io non riesco a capire il calcolo del flusso e mi sembra che c’è una “c” sparita. per favore qualcuno mi puo dare una mano?
Vi ringrazio
dove intendi? ho controllato ma mi sembra corretto