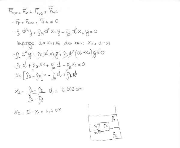
Fluidostatica – Esercizio 1 Un cubetto di legno (densità ρL= 0.75 g/cm3) di lato d= 5 cm è immerso in un recipiente contenente benzina (densità ρB= 0.68 g/cm3) e glicerina (densità ρG= 1.261 g/cm3). Dove si trova il cubetto?
ok