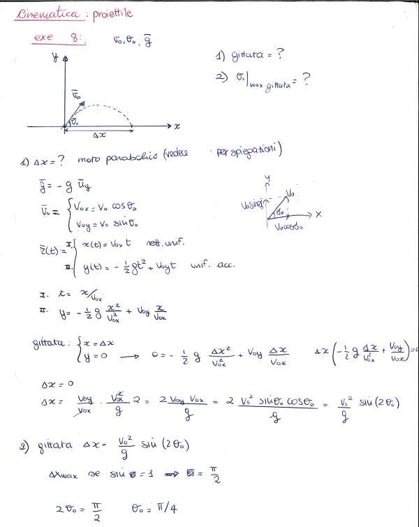
Un proiettile viene lanciato da terra con velocità iniziale v0 ed inclinazione iniziale di un angolo θ0 rispetto l’orizzontale.
1) Calcolare la gittata del proiettile in funzione di v0 e di θ0
2) Se viene fissato il valore di v0, per quale valore di θ0 la gittata è massima?

nel punto 2 devi trovare la gittata massima, ma come puo essere con un angolo di 90 gradi?sarebbe un lancio in verticale e la gittata dunque sarebbe 0 metri
ok ho sbagliato
Come risolvo lo stesso tipo di problema conoscendo V iniziale=70m/s, e angolo di 2pi greco/7.
Gittata?
Altezza massima del proiettile?