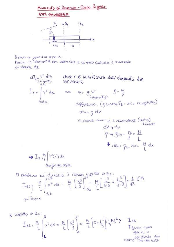
Corpo rigido – Esercizio 1 Calcolare il momento di inerzia di un’asta rigida omogenea di lunghezza L e massa M rispetto ad un asse passante per il suo centro di massa (z1) e per uno passante per un suo estremo (z2).