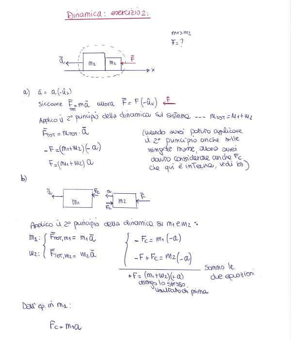
Due masse m1 e m2 (con m1 > m2) sono poste a contatto tra di loro e appoggiate su di un piano orizzontale liscio. Le due masse hanno una certa accelerazione a (diretta dalla parte della massa maggiore).
a) Quanto vale e come deve essere diretta la forza F da applicare per avere l’accelerazione a?
b) Quanto vale, in modulo, la forza di contatto FC tra i due blocchi?

Qualcuno potrebbe spiegarmi il punto b ? Perchè la forza di contatto di m2 si oppone ? Io avrei disegnato solamente la forza di contatto del blocco m2 in verso simile a F, non toccando proprio il blocco m1, sbaglio qualcosa?
per il terzo principio della dinamica