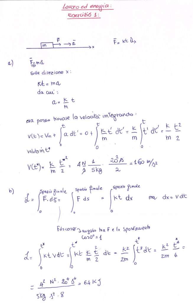
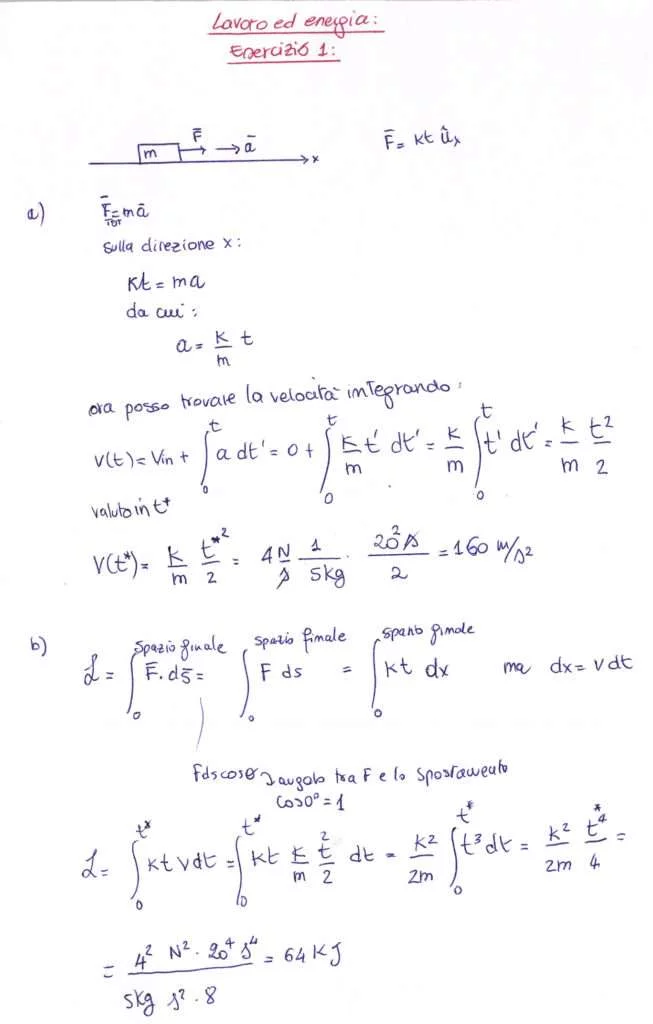
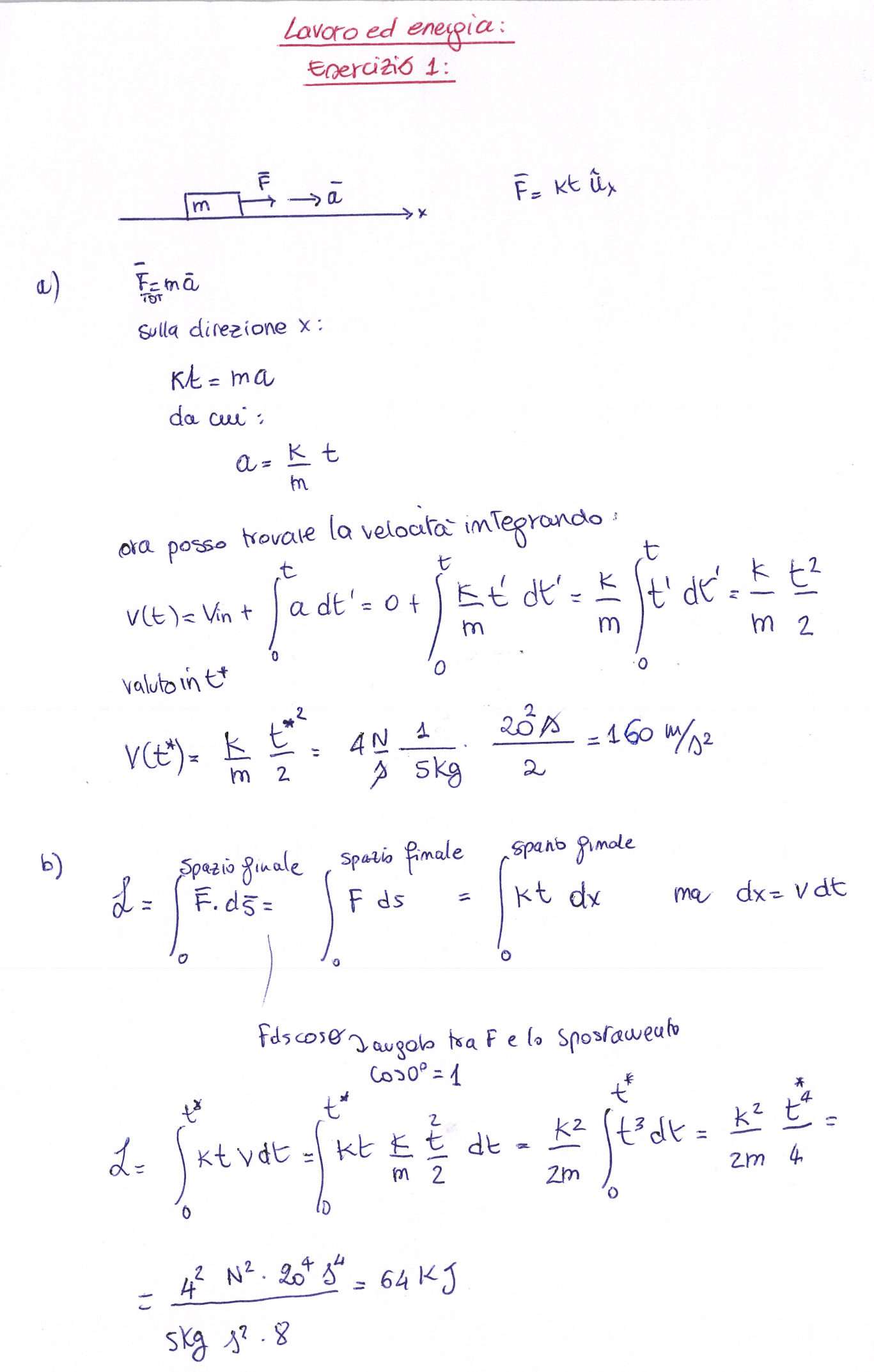
Un blocco di massa m si trova fermo su un piano orizzontale. Ad un certo punto viene sottoposto ad una forza F con direzione e verso orizzontali e costanti e di modulo variabile nel tempo secondo la legge: F(t) = kt, con k costante.
a) Quanto vale la velocità del blocco all’istante t* se il lavoro compiuto dalla forza?
b) Quanto vale il lavoro compiuto dalla forza nell’intervallo di tempo (0, t*) ?
Dati: m = 5 kg, k = 4 N/s, t* = 20 s.

Il punto B si sarebbe potuto risolvere usando solamente l’energia cinetica
le unitá nel punto B non risultanno in Joules, perche s^4 si elimina
IL RISULTATO, NEL PUNTO A, CORRISPONDE A 320 m/s e non m/s2
Sì il risaultato è 160…abbiamo corretto, grazie a tutti ragazzi!
L’esercizio ha qualche errore nello svolgimento dei calcoli, nel punto A.
Il risultato dovrebbe essere 160 m/s ?
si
Questo commento è stato eliminato dall’autore.